15.12.2016

Сотрудники Института вычислительных технологий СО РАН и Института автоматики и электрометрии СО РАН сделали ещё один шаг навстречу качественному прогнозированию поведения реальных конденсатов Бозе-Эйнштейна

Вопрос изучения сложных квантовых систем на основе атомов, охлаждённых до сверхнизких температур, важен в решении фундаментальных и прикладных задач. Эффективным инструментом для наблюдения коллективных квантовых эффектов является конденсат Бозе-Эйнштейна (БЭК).

Основу БЭК составляют атомы, охлаждённые до температур, близких к абсолютному нулю. В таком ультрахолодном состоянии сотни тысяч частиц скапливаются на самом низком энергетическом уровне, т.е. они ведут себя как одна макроскопическая квантовая волна. Таким образом, достигается максимально возможный контроль над частицами, который допускает квантовая механика. Что и приводит к большому экспериментальному и теоретическому интересу по изучению БЭК.

Исследование инициировано экспериментальной работой П.Л. Чаповского с сотрудниками из ИАиЭ СО РАН, в которой исследовался разлёт бозе-конденсата атомов рубидия после выключения удерживающего поля. Есть несколько признаков особого квантового поведения бозе-эйнштейновских конденсатов, которые позволяют отличить их от сильно охлаждённых, но классических атомов. Например, разлёт бозе-конденсатов происходит быстрее вдоль направления наибольшей начальной локализации: в указанном эксперименте бозе-конденсат из сигарообразного облака при разлёте превращается в диск. Так проявляется для квантовых объектов знаменитое соотношение неопределённости Гейзенберга для импульса и координаты атомов. В то время как облако классических атомов подчиняется совсем другим законам и при разлёте превращается в шар.

В физическом эксперименте классические и конденсированные атомы присутствуют одновременно и действительно демонстрируют различное поведение при разлёте, что делает изучение реальных бозе-газов достаточно сложной задачей. В рамках этой задачи были проведены экспериментальные и численные исследования бозе-конденсатов атомов рубидия с целью регистрации эффектов взаимодействия этих двух фракций. Метод был основан на количественном сравнении наблюдаемых характеристик БЭК с численными экспериментами, основанными на теории Гросса – Питаевского, которая хорошо описывает «чистые» бозе-конденсаты, т.е. БЭК без примеси классических частиц. Анализ, выполненный в исследовании, показывает, что для сильно вытянутого сигарообразного облака ультрахолодных атомов присутствие большого количества классических атомов приводит к аномально быстрому разлёту конденсированной фракции в радиальном направлении. Удобной количественной характеристикой этого эффекта является сравнение плотности конденсированных атомов в центре разлетающегося облака с предсказаниями теории Гросса – Питаевского.

Атомы рубидия
Рис. 1. Свободное падение классических атомов 87Rb, имеющих температуру 0.6 мкК (левая колонка), и конденсированных атомов 87Rb (правая колонка) после выключения удерживающей ловушки. Снимки сделаны с интервалом 5 мс.
Поведение плотности конденсированных атомов при разлёте
Рис. 2. Поведение расчётной безразмерной интегральной плотности конденсированных атомов N = 2.3x105 при разлёте: слева – конденсат в удерживающей ловушке в начальный момент времени, справа – анизотропный разлёт конденсата после выключения удерживающего поля на больших временах.





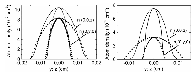
Результаты сравнения физического эксперимента и численных расчётов

Рис. 3. Результаты сравнения физического эксперимента и численных расчётов для числа конденсированных атомов N = 2.3x105 (слева) и N = 3.8x104 (справа): экспериментальные (кружки) и полученные численно по теории Гросса – Питаевского (сплошные линии) распределения плотностей конденсированных атомов по осям y и z в центре облака.

 

Выполненное исследование – ещё один шаг на пути теоретического и экспериментального анализа поведения сложных квантовых систем ультрахолодных атомов. Результаты исследования, полученные коллективом в составе: к.ф.-м.н. Лиханова Ю.В., д.ф.-м.н. Медведев С.Б., д.ф.-м.н. Федорук М.П., д.ф.-м.н. Чаповский П.Л., были опубликованы в Письмах в ЖЭТФ в 2014 и 2016 гг.

 

Источники:

Сотрудники Института вычислительных технологий СО РАН и Института автоматики и электрометрии СО РАН сделали еще один шаг навстречу качественному прогнозированию поведения реальных конденсатов Бозе-Эйнштейна – ИВТ СО РАН (ict.nsc.ru), 1 декабря 2016.

Сотрудники Института вычислительных технологий СО РАН и Института автоматики и электрометрии СО РАН сделали еще один шаг навстречу качественному прогнозированию поведения реальных конденсатов Бозе-Эйнштейна – Новости сибирской науки (sib-science.info), 14 декабря 2016.


Материал в формате pdf