Research Results 1525.10.2017 Сибирские учёные получили новые экспериментальные данные о структуре водыУченые Института автоматики и электрометрии СО РАН В.А. Зыкова, Ю.А. Карпегина, В.К. Малиновский и Н.В. Суровцев опубликовали статью Temperature dependence of the Landau-Placzek ratio in liquid water в журнале Physical Review E (ИФ 2.366) [1]. В ней приведены новые экспериментальные данные, относящиеся к структуре воды. Вода – самое удивительное и необычное вещество на Земле. Она не знает современной физики, ведет себя своенравно, имеет очень много аномальных свойств. При охлаждении ниже +4 оС вода не сжимается, а расширяется; в твердом состоянии она легче, чем в жидком и т.д. Если рассматривать воду как совокупность молекул Н2О, то ее удельный вес должен быть 1,84 г/см3, а температура кипения 63,5 оС. Все знают, что это не так. Эти и другие удивительные аномалии заставляют предположить, что воде присуща особая структура – внутри воды должны быть пустоты. Это подтверждается существованием газогидратов – объектов, где газы заполняют полости внутри воды. Наиболее распространенная гипотеза о строении воды основана на представлении, что лед, вода и водяной пар состоят из молекул Н2О, объединенных в группы с помощью так называемых водородных связей. Свободные, не связанные в ассоциаты молекулы воды, присутствуют в ней лишь в небольшом количестве (~3 %). В настоящее время многие ученые думают, что вода есть флуктуирующая смесь кластеров двух типов, в одном из которых молекулы связаны друг с другом как во льду, а в другом связи нарушены, благодаря чему эти кластеры более плотные. Размеры кластеров ~1–2 нм.
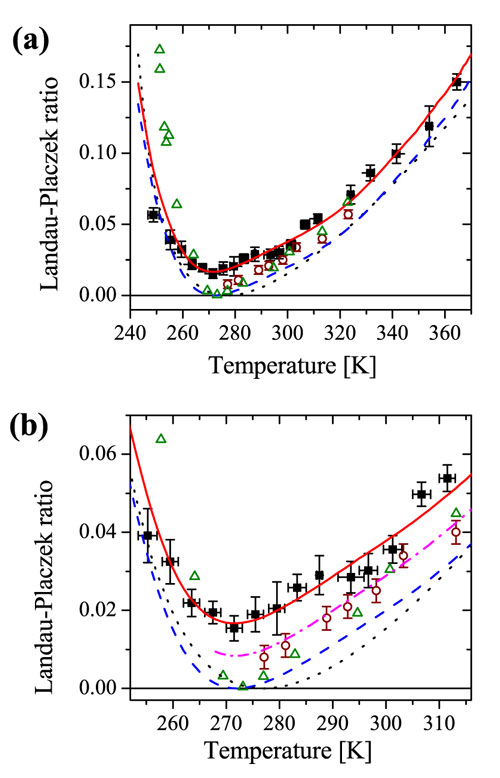
Рис. 1. Кластеры и свободные молекулы в воде (Модель предложена G. Nemethy, H.A. Scheraga) Структурная кинетика выглядит так: при повышенных температурах равновесие в воде смещено в сторону доминирования ассоциатов с нарушенными водородными связями, в то время как льдоподобные кластеры преобладают при низких температурах. Гипотеза о том, что водная структура содержит два структурных мотива, очень удобна для объяснения специфических свойств воды и поэтому популярна для интерпретации экспериментальных результатов. Но так ли это? Если изучать упруго рассеянный водой свет, то можно узнать, однородна или неоднородна жидкость. Обычно формула Ландау – Плачека, являющаяся отношением интегральной интенсивности упруго рассеянного света (пик Рэлея) к интенсивности двух линий Бриллюэна, связанных с рассеянием на звуковых волнах, является мерой в таких экспериментах. Рис. 2. Пик Релея и Бриллюэновские линии в воде при трех характерных температурах: T = 324 K (a), T = 272 K (b), T = 249 K (c). Отношение Ландау – Плачека для однородных низковязких жидкостей хорошо описывается классическим теоретическим выражением, в котором используется пара независимых термодинамических переменных. Появление неоднородной структуры должно приводить к дополнительному количеству упруго рассеянного света по аналогии с влиянием флуктуаций концентрации в бинарных растворах. В литературе известно всего несколько работ по определению отношения Ландау – Плачека в воде [2, 3]. Они выполнены давно и на аппаратуре ненадлежащего качества. В экспериментах сотрудников лаборатории спектроскопии конденсированных сред ИАиЭ СО РАН отношение Ландау – Плачека измерено для жидкого состояния воды с помощью 6‑проходного интерферометра Фабри – Перо. Ученые расширили диапазон температуры вверх и значительно скорректировали ранее сообщавшиеся сведения для переохлажденных состояний. Высокое спектральное разрешение аппаратуры исключило неоднозначность при оценке интенсивности пика Рэлея и линий Бриллюэна. Эксперименты показали, что зависящая от температуры часть отношения Ландау – Плачека хорошо описывается теоретическим выражением, в котором использована пара независимых термодинамических переменных (давление и энтропия). Рис. 3. Температурная зависимость отношения Ландау – Плачека для воды. Квадратами обозначены экспериментальные значения, полученные в данной работе; кружками – из [2]; треугольниками – из [3]. На рис. 3, (а) приведен весь температурный диапазон; на рис. 3, (b) – вблизи минимума. Линии соответствуют разным модельным предположениям. Красная сплошная линия показывает, как зависящая от температуры часть отношения Ландау – Плачека описывается теоретическим выражением, в котором использована пара независимых термодинамических переменных (давление и энтропия). Экспериментальные данные, полученные учеными ИАиЭ СО РАН, согласуются с теорией во всем изученном температурном диапазоне. «Эксперименты привели к неожиданному результату и показали, что никаких свидетельств увеличения упруго рассеянного света при низких температурах нет. Как же так? Данные проведенного исследования предполагают, что структура воды однородна, и ограничивают возможности свободного фантазирования относительно моделей структуры воды» – пояснил один из авторов работы – д.ф.-м.н. В.К. Малиновский. На следующем этапе исследований необходимо выяснить, почему флуктуации, вызванные возможными неоднородностями в структуре воды, не проявляются в рассеянии света. [1] Zykova V. A., Karpegina Y. A., Malinovsky V. K., and Surovtsev N. V. Temperature dependence of the Landau-Placzek ratio in liquid water, Phys. Rev. E 96, 042608 (2017). DOI: 10.1103/PhysRevE.96.042608 [2] O’Connor C. L. and Schlupf J. P. Brillouin Scattering in Water: The Landau—Placzek Ratio, J. Chem. Phys. 47, 31 (1967). DOI: 10.1063/1.1711865 [3] Maisano G., Majolino D., Mallamace F. et al. Landau-Placzek ratio in normal and supercooled water, Molecular Physics 57, 1083-1097 (1986). DOI: 10.1080/00268978600100791
Дополнительно по теме: Сибирские ученые получили новые экспериментальные данные о структуре воды | ФАНО России – Федеральное агентство научных организаций (fano.gov.ru), Москва, 7 ноября 2017. ФАНО/ Сибирские ученые получили новые экспериментальные данные о структуре воды – Гос Пресс (gospress.ru), Москва, 7 ноября 2017. Сибирские ученые получили новые экспериментальные данные о структуре воды – Polpred.com, Москва, 8 ноября 2017. Сибирские ученые опровергли гипотезу о двух типах структуры воды – Чердак: наука, технологии, будущее (chrdk.ru), Москва, 13 ноября 2017. Сибирские ученые получили новые данные о структуре воды (электронная версия) – Наука в Сибири (sbras.info), Новосибирск, 14 ноября 2017. Сибирские ученые получили новые данные о структуре воды (печатная версия) – Наука в Сибири (sbras.info), № 46, с. 5, Новосибирск, 14 ноября 2017. Что может быть интереснее Н2О – Академгородок (academcity.org), 15 ноября 2017. Сибирские ученые опровергли гипотезу о двух типах структуры воды – Новости@Rambler.ru (news.rambler.ru), Москва, 20 ноября 2017. Ученые ИАиЭ СО РАН получили новую информацию о структуре воды – Научная Россия (scientificrussia.ru), Москва, 26 ноября 2017. |



