Широкополосная импульсная терагерцовая спектроскопия
- Генерация ТГц излучения в полупроводниках А3В5
- ТГц свойства кристаллов семейства боратов и их применения
- ТГц свойства кристаллов титанил-фосфата калия и их применения
- Измерение отношения концентраций орто- и параизомеров воды методом ТГц спектроскопии
- Система нестационарной ТГц спектроскопии на основе титан-сапфирового лазера
Терагерцовые спектрометры на основе фемтосекундных волоконных лазеров
Разработаны методы и созданы системы широкополосной терагерцовой (ТГц) спектроскопии на основе фемтосекундных волоконных лазеров [1,2] (рис. 1, 2). Генерация ТГц излучения осуществляется в многоэлементной фотопроводящей антенне «Batop». Для регистрации терагерцовых импульсов применяется поляризационно-оптический метод, основанный на линейном электрооптическом эффекте в кристаллах теллурида цинка ZnTe с ориентацией <110> и толщиной 2 мм [3,4]. Регистрация изменения напряженности терагерцового излучения во времени, прошедшего через образец, осуществляется стробоскопическим методом с использованием оптической линии задержки пробного лазерного импульса. ТГц спектрометры обеспечивают исследование образцов в диапазоне температур от -196 °C до 250 °C в различных экспериментальных конфигурациях: спектроскопия нарушенного полного внутреннего отражения, спектроскопия тонких пленок на подложках.
Разработано и создано программное обеспечение управления широкополосными импульсными терагерцовыми спектрометрами, а также цифровой коррекции и обработки ТГц сигналов. Программное обеспечение позволяет корректировать систематические погрешности ТГц измерений, связанных с дрейфом мощности лазера накачки и нестабильностью оптической линии задержки [5], а также определять физические характеристики исследуемых образцов, такие как комплексный показатель преломления, коэффициент поглощения, комплексная диэлектрическая проницаемость, проводимость и т. д.
| Рис. 1. Схема ТГц спектрометра | Рис. 2. Внешний вид ТГц спектрометра |
Характеристики спектрометра:
|
Рабочий спектральный диапазон, ТГц |
0,1÷2,5 |
|
Число регистрируемых линий ТГц излучения |
> 200 |
|
Динамический диапазон регистрируемых линий, до |
500 |
|
Диапазон длин волн лазерного излучения накачки, мкм |
0,75-0,8 |
|
Длительность импульса лазерного излучения, фс |
< 100 |
Спектрометры предназначены для:
- исследования полупроводниковых материалов и структур, в т.ч. систем пониженной размерности, без нарушения их функционирования;
- изучения внутренней структуры и идентификации сложных биологических молекул (аминокислот, полипептидов, белков, ДНК и РНК);
- неинвазивной диагностики, в т.ч. в медицине;
- обнаружения взрывчатых и наркотических веществ.
Публикации:
- Анцыгин В. Д., Мамрашев А. А., Николаев Н. А., Потатуркин О. И. Малогабаритный терагерцовый спектрометр с использованием второй гармоники фемтосекундного волоконного лазера // Автометрия. 2010. Т. 46, № 3. С. 110–117.
- О. И. Потатуркин, В. Д. Анцыгин, А. А. Мамрашев, Н. А. Николаев. Малогабаритный терагерцовый спектрометр // Патент на полезную модель № 105738 Опубликован 20.06.2011 Бюл. № 17.
- Мамрашев А. А., Потатуркин О. И. Исследование характеристик системы поляризационно-оптической регистрации импульсного терагерцового спектрометра // Автометрия. 2011. Т. 47, № 4. С. 16–22.
- Анцыгин В. Д., Лосев В. Ф., Мамрашев А. А., Николаев Н. А., Потатуркин О. И. Особенности исследования анизотропных сред методами импульсной терагерцовой спектроскопии // Автометрия. 2016. Т. 52, № 4. С. 71–78.
- Mamrashev A. A., Minakov F. A., Maximov L. V., Nikolaev N. A., Chapovsky P. L. Correction of Optical Delay Line Errors in Terahertz Time-Domain Spectroscopy // Electronics. 2019. Vol. 8, № 12. P. 1408.
Генерация терагерцового излучения в полупроводниках А3В5
Предложен новый метод генерации терагерцового излучения при воздействии фемтосекундных лазерных импульсов на поверхность узкозонного полупроводника [1,2]. Суть метода заключается в том, что с помощью микролинзового растра и затенения части поверхности полупроводника металлическими полосами создается пространственная модуляция интенсивности возбуждающего излучения. Рождающиеся в полупроводнике фотоносители разного знака имеют различную скорость диффузии. Вследствие этого на резкой границе металлического покрытия возникает градиент концентрации фотоносителей вдоль поверхности полупроводника (поперечный фотоэффект Дембера, рис. 3). Его релаксация за времена ~1 пс приводит к излучению электромагнитных импульсов терагерцового диапазона. Создан экспериментальный прототип предложенного терагерцового генератора на полупроводнике p-InSb и получен патент на изобретение [2].
Рис. 3. Схема генерации терагерцового излучения на краю непрозрачной маски. 1 – полупроводниковая пластина; 2 – непрозрачная маска; 3 – импульс электрического тока; 4 – диаграмма направленности детектируемой части терагерцового излучения; 5 – терагерцовое излучение, отражающееся от маски, 6 – возбуждающее лазерное излучение
Экспериментально показано преимущество генерации терагерцового излучения на поверхности полупроводниковых кристаллов по сравнению с методом оптического выпрямления в кристалле ZnTe при их облучении лазерными импульсами на длине волны 775 нм [3]. Проведено сравнение эффективности генерации терагерцового излучения в полупроводниках GaAs, InAs и InSb (рис. 4а). Установлено, что при данных параметрах лазерного излучения наиболее эффективным генератором является InAs, для которого оценен вклад различных механизмов в генерацию терагерцового излучения: фотоэффекта Дембера и оптического выпрямления. Выполнены экспериментальные исследования генерационных свойств полупроводниковых материалов InAs, InSb с различными типами и концентрациями носителей при накачке фемтосекундными лазерными импульсами на длине волны 1550 нм (рис. 4б). Установлено, что наибольшей эффективностью генерации импульсного терагерцового излучения обладает InSb p-типа
|
|
|
| а | б |
Рис. 4. Сравнение спектров генерации в полупроводниках с разным типом проводимости при накачке излучением фемтосекундных волоконных лазеров на длине волны 775 нм и 1550 нм.
Разработан метод повышения эффективности генерации ТГц излучения на поверхности полупроводников в постоянном магнитном поле (рис. 5). Исследовано влияние магнитного поля на эффективность генерации терагерцового излучения на поверхности полупроводников. Применение магнитного поля ~1 Тл приводит к увеличению мощности излучения в ~180 раз. (рис. 6)
|
|
|
| Рис. 5. Магнитная система терагерцового генератора. MS – намагниченность, d – зазор между магнитами, a, b – стороны магнита, HX – компонента напряженности магнитного поля перпендикулярная зазору. | Рис. 6. Сравнение спектральной плотности мощности ТГц излучения при генерации в полупроводниках с разным типом проводимости в магнитном поле. |
Публикации:
- Анцыгин В. Д., Конченко А. С., Корольков В.П., Мамрашев А.А., Николаев Н.А., Потатуркин О.И. Терагерцовый микрорастровый эмиттер на основе поперечного эффекта Дембера // Автометрия. 2013. Т. 49, № 2. С. 92–97.
- О. И. Потатуркин, Н. А. Николаев, А. А. Мамрашев, В. Д. Анцыгин, В. П. Корольков, А. С. Конченко. Многоэлементный генератор терагерцового излучения // Патент на изобретение № 2523746. Опубликован 20.07.2014. Бюллетень № 20.
- Об эффективности генерации терагерцового излучения в кристаллах GaAs, InAs и InSb // Автометрия. 2011. Т. 47, № 4. С. 23–30.
- Antsygin V. D., Mamrashev A. A., Nikolaev N. A., Potaturkin O. I. Effect of a magnetic field on wideband terahertz generation on the surface of semiconductors // IEEE Transactions on Terahertz Science and Technology. V. 5, Is. 4. P. 673–679.
ТГц свойства кристаллов семейства боратов и их применения
Экспериментально определены оптические свойства (показатель преломления и коэффициент поглощения) нелинейных кристаллов семейства боратов [1]: альфа- и бета-бората бария (α- и β-BaB2O4, α- и β-BBO), трибората (LiB3O5, LBO) и тетрабората лития (Li2B4O7, LB4).
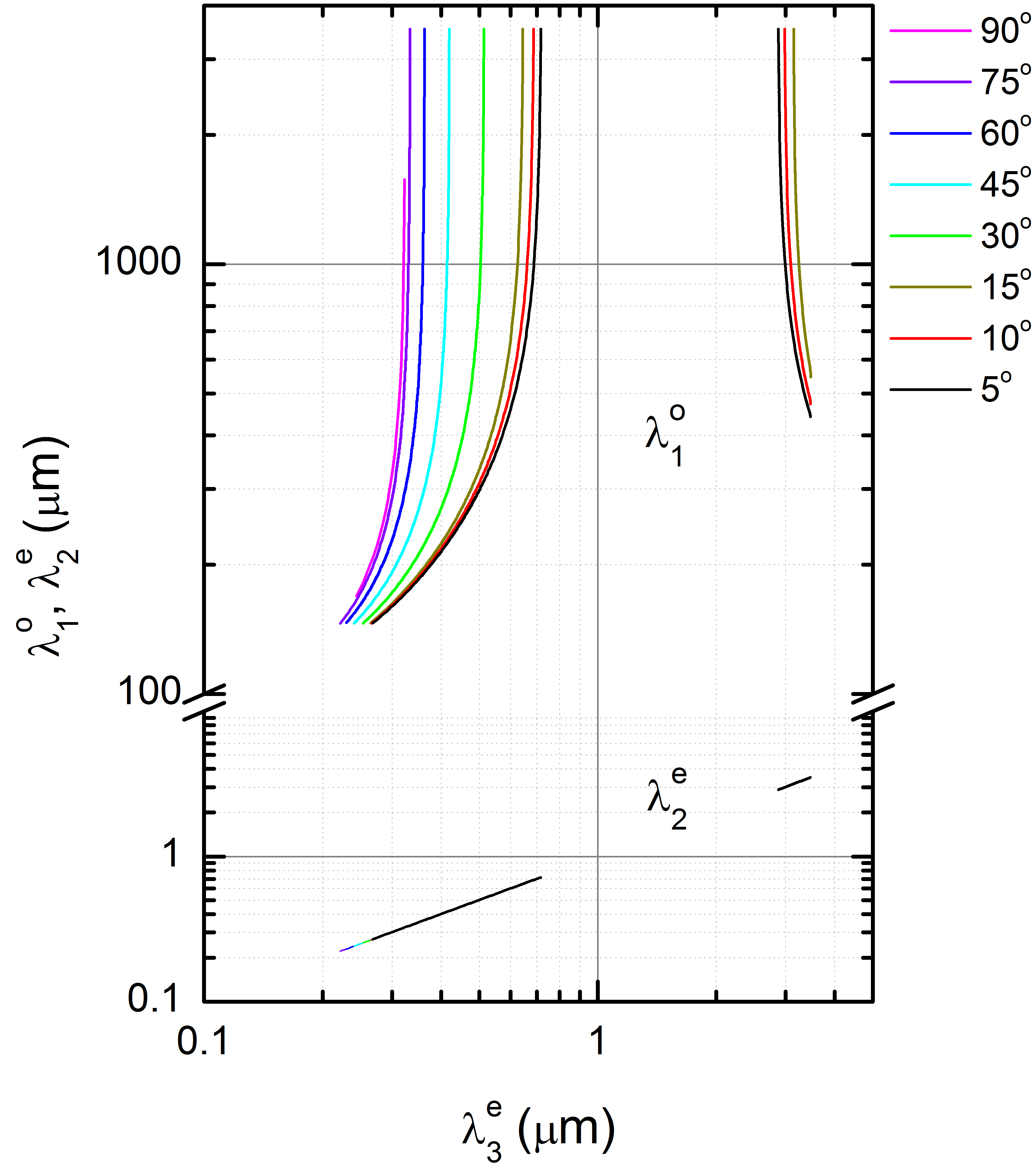
В кристаллах LBO обнаружено значительное падение коэффициента поглощения (до уровня <5 см‑1) при охлаждении []. Построены уравнения Зельмеера для показателей преломления для оптических осей x, y и z при комнатной температуре и при температуре жидкого азота [3,4]. Рассчитаны кривые фазового синхронизма для генерации разностных частот в терагерцовый диапазон (рис. 8) при комнатной температуре в кристаллах LBO [4]. Однако эффективность данного преобразования низка из-за высокого коэффициента поглощения. Несмотря на падение поглощения в охлажденных кристаллах, эффективная генерация разностных частот в них также невозможна из-за невыполнения условий фазового согласования при низких температурах.
![]() |
![]() |
|
| Рис. 7. Коэффициент поглощения кристаллов LBO в терагерцовом диапазоне. | Рис. 8. Кривые фазового синхронизма для генерации разностных частот в терагерцовых диапазон при накачке кристаллов LBO излучением на длинах волн 475, 680, 1080 и 1500 нм | |
Измеренные показатели преломления β-BBO для обыкновенной и необыкновенной волн при комнатной температуре и температуре жидкого азота (рис. 9) аппроксимированы уравнениями Зельмеера [5]. На основе полученных результатов показана возможность генерации разностных частот лазерного излучения ближнего ИК-диапазона с преобразованием в длинноволновое (>650 мкм) терагерцовое излучение (рис. 10) [5], генерации второй гармоники в терагерцовом диапазоне, оптического выпрямления фемтосекундных импульсов в терагерцовый диапазон.
![]() |
![]() |
![]() |
| Рис. 9. Показатель преломления и коэффициент поглощения кристалла β-BBO. |
Рис. 10. Генерация разностных частот в кристалле β-BBO.
|
|
Публикации:
- Antsygin V. D., Mamrashev A.A., Nikolaev N.A., Potaturkin O.I., Bekker T.B., Solntsev V. P. Optical properties of borate crystals in terahertz region // Optics Communications. V. 309. P. 333–337.
- Andreev Yu., Lanskii G., Kokh A., Kokh K., Molloy J., Naftaly M., Mamrashev A., Nikolaev N., Litvinenko K., Murdin B.N., Svetlichnyi V. Observation of a different birefringence order at optical and THz frequencies in LBO crystal // Optical Materials. Vol. 66. P. 94–97.
- Николаев Н.А., Андреев Ю. М., Кононова Н. Г., Мамрашев А. А., Анцыгин В. Д., Кох К. А., Кох А. Е., Лосев В. Ф., Потатуркин О. И. Оптические свойства кристалла LBO в терагерцевом диапазоне при охлаждении до температуры жидкого азота // Квантовая электроника. 2018. Т. 48, № 1. С. 19–21.
- Nikolaev N. A., Andreev Yu. M., Kononova N. G., Lanskii G. V., Mamrashev A. A., Antsygin V. D., Kokh K. A., Kokh A. E. Temperature dependence of terahertz optical properties of LBO and perspectives of applications in down-converters // Journal of Physics: Conference Series. 2018. Vol. 951. P. 012005.
- Nikolaev N. A., Andreev Yu. M., Antsygin V. D., Bekker T. B., Ezhov D. M., Kokh A. E., Kokh K. A., Lanskii G. V., Mamrashev A. A., Svetlichnyi V. A. Optical properties of β-BBO and potential for THz applications // Journal of Physics: Conference Series. 2018. Vol. 951. P. 012003.
ТГц свойства кристаллов титанил-фосфата калия и их применения
Впервые экспериментально исследованы оптические свойства нелинейно-оптических кристаллов титанил-фосфата калия (КТР) в диапазоне 0,2-2,6 ТГц методом широкополосной терагерцовой (ТГц) спектроскопии [14-17]. Исследования проведены вдоль основных кристаллографических осей на образцах различной проводимости (σ1<10−12 Ом-1см-1, σ2≈10−11 Ом−1•см−1 и σ3=2•10−6 Ом−1•см−1). Обнаружены линии поглощения, обусловленные внешними колебаниями ионов калия относительно кристаллического каркаса, образованного TiO6 и PO4. Установлено, что особенности линий поглощения в кристаллах с различной проводимостью связаны со степенью неупорядоченности калиевой подрешетки, т.е. с наличием дополнительных позиций и степенью их заполнения ионами калия. Показано, что для генерации широкополосного излучения в диапазоне 0,2-1 ТГц кристаллы КТР могут быть более эффективны по сравнению с традиционно применяемыми для этих целей кристаллами ниобата лития.
![]() |
|
|
а |
б |
Рис. 11. Спектральная зависимость коэффициентов поглощения (а) и показателей преломления (б) высокоомного (σ2) кристалла КТР вдоль кристаллографических осей
Публикации:
- Antsygin V. D., Kaplun A. B., Mamrashev A. A., Nikolaev N. A., Potaturkin O. I. Terahertz optical properties of potassium titanyl phosphate crystals // Optics Express. 2014. V. 22, Is. 21. P. 25436.
- Huang J.-G., Huang Z.-M., Nikolaev N. A., Mamrashev A. A., Antsygin V. D., Potaturkin O. I., Meshalkin A. B., Kaplun A. B., Lanskii G. V., Andreev Yu. M., Ezhov D. M., Svetlichnyi V. A. Phase matching in RT KTP crystal for down-conversion into the THz range // Laser Phys. Lett. 2018. Vol. 15, № P. 075401.
- Mamrashev A.A., Nikolaev N.A., Antsygin V. D., Andreev Yu.M., Lanskii G. V., Meshalkin A. B. Optical Properties of KTP Crystals and Their Potential for Terahertz Generation // Crystals. 2018. Vol. 8, № 8. P. 310.
- Wang C.-R., Pan Q.-K., Chen F., Lanskii G. V. Nikolaev N. A., Mamrashev A. A., Andreev Yu. M., Meshalkin A. B. Phase-matching in KTP crystal for THz wave generation at room temperature and 81 K // Infrared Physics & Technology. 2019. Vol. 97. P. 1–5.
Измерение отношения концентраций орто- и параизомеров воды методом ТГц спектроскопии
Предложен метод измерения отношения концентраций ядерных спиновых изомеров молекул воды (орто- и пара-H2O) средствами широкополосной терагерцовой спектроскопии [1]. Метод позволяет одновременно детектировать оба спиновых изомера в одинаковых физических условиях. С помощью созданного терагерцового спектрометра [2] измерен спектр оптической плотности паров воды в атмосфере. Теоретические спектры орто- и параизомеров рассчитаны по данным базы HITRAN с учетом инструментальной функции спектрометра. Сопоставление теоретических спектров с экспериментальными позволило определить отношение концентраций орто- и параизомеров молекул воды. По измерениям в спектральном диапазоне 0,15–1,05 ТГц их отношение составило 3,03±0,03. Полученное значение совпадает в пределах ошибки измерений с теоретическим значением, равным 3 в равновесных условиях, что доказывает работоспособность предложенного метода.

Рис. 12. Сравнение экспериментального и теоретического спектров
оптической плотности паров воды в атмосфере.
Публикации:
- Mamrashev A. A., Maximov L. V., Nikolaev N. A., Chapovsky P. L. Detection of nuclear spin isomers of water molecules by terahertz time-domain spectroscopy // IEEE transactions on terahertz science and technology. 2018. V. 8, Is. 1. P. 13–18.
Система нестационарной терагерцовой спектроскопии на основе титан-сапфирового лазера
Разработана и создана система нестационарной ТГц спектроскопии на основе титан-сапфирового лазера с многопроходным усилителем. К двум каналам системы стационарной ТГц спектроскопии, терагерцовому зондирующему и лазерному считывающему, добавлен третий – импульсный для предварительного возбуждения исследуемых образцов (рис. 13 и 14). Реализовано два режима сканирования. Первый расширяет стационарную спектроскопию, т.е. в разные моменты после возбуждающего импульса сканируется зондирующий терагерцовый импульс. Во втором режиме фиксируется оптическая задержка между возбуждающим и считывающим импульсами и меняется их общая задержка относительно зондирующего ТГц импульса. Разработаны и созданы программные модули восстановления параметров исследуемых образцов, которые позволяют изучать их терагерцовый отклик в различные моменты после возбуждения. Для расчетов используется квазистационарное приближение, при котором предполагается, что свойства исследуемых материалов меняются медленнее, чем время взаимодействия с зондирующим ТГц импульсом.
На рис. 13 и 14 приняты следующие обозначения: канал предварительного возбуждения образца – голубой; канал генерации ТГц излучения – красный; канал регистрации ТГц излучения – оранжевый; зондирующее терагерцовое излучение – зеленый.
Рис. 13. Блок-схема системы терагерцовой спектроскопии с предварительным возбуждением образца. Условные обозначения: Мi – селективное диэлектрическое зеркало на соответствующую длину волны; λ/2 + БПi – делитель пучка на два канала с регулировкой по мощности; Ф – фильтр из высокоомного кремния, пропускающий ТГц излучение и отрезающий излучение накачки на длине волны 800 нм; СФ – фильтр, пропускающий излучение на длине волны 400 нм и отрезающий излучение на 800 нм; СД – светоделитель; Г – генератор ТГц излучения; Д – детектор ТГц излучения; ПВ – призма Волластона
Рис. 14. Фото оптической части стенда системы терагерцовой спектроскопии с предварительным возбуждением образца
Экспериментально определены основные функциональные возможности системы нестационарной ТГц спектроскопии, зависящие от параметров излучения титан-сапфирового лазера с многопроходным усилителем: центральной длины волны 807 нм, ширины спектра ~52 нм, длительности импульса – 37,5 фс и энергии в импульсе – 1,8 мДж. Показано, что при этих параметрах терагерцовый диапазон созданной системы нестационарной спектроскопии ограничен 26 ТГц, временное разрешение каналов предварительного возбуждения и регистрации – длительностью лазерного импульса, а динамический диапазон ограничен отношением сигнал/шум интенсивности лазерного излучения и не превышает 60 дБ.
- Antsygin V.D., Mamrashev A.A., Nikolaev N.A., Potaturkin O.I. Study of hot carrier relaxation in narrow-gap semiconductors with time-resolved terahertz spectroscopy // The XII International Conference Atomic and Molecular Pulsed Lasers – AMPL (Tomsk, Russia, September 14-18, 2015): Abstracts. Tomsk: Publishing House of IAO SB RAS. - 2015. - P. 123.
















