Научные и прикладные результаты лаборатории 04
2025
Разработан и исследован подход, позволяющий определить концентрацию белка в многокомпонентных биологических жидкостях методом КРС с использованием осаждения белка и применением лизоцима в качестве белка-репортёра. Исследована проблема описания продольного модуля коллагеновых материалов на примере лентикулы и коллагенового гидрогеля как функции концентрации воды и предложено модельное описание. Продемонстрировано, что эффект гидратации роговицы влияет на позицию линии рассеяния Мандельштама-Бриллюэна и является превалирующим по сравнению с обработкой, применяемой при лечении кератоконуса. Разработан и применен подход к изучению свойств межбислоевой воды в гидратированных фосфолипидных мембранах с использованием спектроскопии КРС. Получены спектры гидратирующей воды, показана ее устойчивость к кристаллизации при криогенных температурах, сделана оценка числа молекул воды на молекулу фосфолипида. Дана интерпретация различным данным по числу гидратирующих молекул в случае фосфолипидных мембран, находящихся во флюидной фазе, и для зависимости этого числа от температуры. Используя данные о бозонном пике, рассчитана зависимость амплитуды среднеквадратичных пространственных флуктуаций сдвигового модуля упругости на нанометровом масштабе в полимере полибутадиене. Методом ГВГ исследован сегнетоэлектрический фазовый переход в керамике титаната бария и показано, что различные фазовые состояния керамики находят свое отражение в характере температурной зависимости сигнала ГВГ. Измерены и интерпретированы спектры КРС тонких пленок теллуридов висмута и объемных поликристаллов селенида ртути. На примере желатина развит подход для изучения эффектов от стерилизации биоматериалов с использованием КРС, ИК поглощения и ДСК. Впервые методом рассеяния Мандельштама-Бриллюэна определены продольная и поперечная скорости звука для кристалла метал-органического каркаса DBTQ-I3. При развитии метода витального измерения спектров КРС от живых организмов сделаны оценки предельных доз облучения на длинах волн 532 и 780 нм на примере одиночных дрожжевых клеток, ранних эмбрионов мыши и тихоходок. Впервые получены высококачественные КР-спектры тихоходок, содержащие спектральные вклады от белков, липидов и цитохрома. Показано, что импульсное излучение на 1535 нм позволяет проводить успешный лазерный разогрев эмбрионов млекопитающих.
2024
В 2024 году с использованием методов оптической спектроскопии были получены значимые результаты для ряда задач материаловедения, химической и биологической физики. Изучены внутримолекулярные и низкочастотные спектры комбинационного рассеяния света (КРС) гидрогелей коллагенов при различных концентрациях воды, исследована зависимость спектра быстрой релаксации от гидратации и показана ее связь с параметрами спектра рассеяния Мандельштама-Бриллюэна (РМБ). Определены экспериментальные проблемы, ограничивающие применимость метода инфракрасного поглощения для определения содержания белка в кондиционных средах от клеточных культур, и предложены решения этих проблем. Низкочастотное КРС использовано для определения структурообразующих полиэдров в структуре новых фторниобатных стекол. По данным электронной микроскопии определена пространственная корреляционная функция расположения коллагеновых фибрилл в роговице глаза, которая соответствовала четырем ближайшим соседа, а не шести, как считалось ранее. Показано отсутствие однозначной связи между продольным модулем из спектров РМБ и модулем Юнга из механических тестов для бычьего перикарда и вены – актуальных материалов для кардиохирургических имплантатов. Показана связь между среднеквадратичными флуктуациями сдвигового модуля на нанометровом масштабе и параметром Ландау-Плачека на примере глицерина. Для кристалла Li0.8Ag0.2InSe2 получено, что зависимости порога оптического пробоя от частоты следования импульсов различны для наносекундных и субнаносекундных лазерных импульсов, соответствуя тепловому и нетепловому механизму пробоя, соответственно. Численно изучено приближение случайного локального поля для модели Изинга с квадратной решеткой, показавшее метастабильное состояние в ферромагнитной фазе и предсказавшее фазовый переход слэб-капля. Измерены спектры КРС/РМБ от актуальных кристаллических материалов: BaTiO3, Pb3(MgNb2)O9, SrxBa1 – xNb2O6 (x = 0.60, 0.75), тонкие пленки топологического изолятора Bi2-xSbxTe3-ySey, поликристаллический EuAl3(BO3)4. Исследованы пироэлектрические свойства и спектры РМБ пленок SrxBa1 – xNb2O6. Разработана система культивирования биологических клеток, позволяющая измерять КРС под объективом микроскопа непосредственно в процессе жизненного цикла клеток. С помощью спектроскопии КРС изучено влияние охлаждения на фазовое состояние липидов в ооцитах свиньи и обнаружено, что в физиологическом состоянии липиды этих ооцитов метастабильны относительно перехода в гелевую фазу. Спектроскопия КРС применена для характеризации метаболизма диапаузирующих бластоцит и влияния насыщенной стеариновой кислоты на развитие и криоконсервацию эмбрионов домашней кошки и мыши.
2023
По спектрам комбинационного рассеяния света (КРС), измеренным в широком температурном диапазоне, определена температурная зависимость интенсивности LAM мод суспензий фосфолипидных везикул DPPC; из сравнения с поведением интенсивности линии СС для all-trans конформаций углеводородных хвостов сделан вывод о наличии степеней свободы, высвобождение которых на температурах выше 250 К подавляет LAM-моды, но не влияет на СС-stretch моды. Используя метод КРС и дейтерирования определена тройная диаграмма POPC-DPPC-Chol с точки зрения эффектов для конформационных состояний. Ширина и частота пика рассеяния Мандельштама-Бриллюэна (РМБ) в стеклующемся салоле охарактеризованы в широком температурном диапазоне и показано, что взаимосвязь продольной и ориентационной релаксации немонотонна и требует дальнейшего теоретического анализа. С помощью спектроскопии КРС был впервые исследован фазовый переход липидов в ооцитах свиньи. Было сделано открытие о том, что после фазового перехода упорядоченные фазы не плавятся даже при температурах культивирования. Методика микроскопического КРС позволила измерить спектры КРС от разных частей сперматозоидов домашней кошки в диапазоне температур от -20 до 20 °С и показать, что липидный фазовый переход в сперматозоидах является размытым. Оптимизированы чувствительность и пространственное разрешение стенда КРС с возбуждением 780 нм с использованием Rb ячейки в качестве нотч фильтра. Методами КРС и сигнала ГВГ охарактеризован дипольный момент и механические напряжения микронных пленок SBN-0.5 и определена роль механических напряжений в их фазовом состоянии. Показано, что пирокоэффициент пленок SBN в номинально параэлектрической фазе определяется локальными полярными областями. Методы ГВГ, КРС и численных методов применены для характеризации нелинейных кристаллов и перспективных кристаллических материалов: состояния воды кордеритов, покрытия никелида титана после плазменной обработки, щелочных поливольфраматов и индий-серебряных селенитов.
2022
С использованием методов оптической спектроскопии были получены значимые результаты для ряда задач материаловедения, химической и биологической физики:
Измерены низкочастотные спектры КРС фосфолипидных мембран DОPC в температурном диапазоне 200-316 К, сделан вывод о слабом эффекте ненасыщенности и температуры на проявление слоевого пика и широкой полосы, отражающей вклад акустических фононов. Продемонстрировано, что методом РМБ возможно определение сосуществования доменов разных фаз в многокомпонентных фосфолипидных мембранах. Методом РМБ определена добротность 10 ГГц акустических фононов стеклующегося дибутилфталата. Сделан вывод, что аномалия в районе 160 К связана с перераспределением времен релаксаций. Получена температурная зависимость коэффициента диффузии в многослойных планарных мембранах насыщенного (DPPC) и ненасыщенного (DOPC) фосфолипидов методом восстановления флюоресценции после обесцвечивания. Решена задача определения связи пространственных флуктуаций упругих констант на нанометровом масштабе с параметрами бозонного пика в стеклах, показана перспективность рассмотрения ионных жидкостей как стеклующихся материалов.
Методом спектроскопии КРС были определены степень ненасыщенности и температура фазового перехода в эмбрионах домашней кошки и мыши после культивирования со стеариновой кислотой. Показано, что для эмбрионов обоих видов добавление стеариновой кислоты приводит к значительному увеличению температуры фазового перехода. Для эмбрионов мыши со степенью ненасыщенности, соответствующей I(С=С)/I(sCH) ≤ 0.11, часть липидов оказывается в упорядоченном конформационном состоянии уже при температуре культивирования. Увеличение доли липидов в упорядоченном конформационном состоянии коррелирует со снижением способности эмбрионов к развитию in vitro. Температурные измерения КРС от фракций лизата стволовых клеток показали, что фракции разной плотности претерпевают фазовый переход при разных температурах. Таким образом, было продемонстрировано, что общепринятое сопоставление определенного типа клеток и одной температуры липидного фазового перехода не является корректным.
Для пленок SBN субмикронных толщин определена эволюция дипольного момента по сигналу генерации второй гармоники, а по спектру КРС охарактеризован фазовый переход. Показано, что особенности подложки, на которую нанесена пленка, существенно влияют на механические напряжения в пленке, приводящие как к сдвигу температуры перехода, так и к понижению симметрии кристаллической решетки пленки при температурах выше фазового перехода. Развитые методы характеризации нелинейных свойств кристаллов с применением сигнала генерации второй гармоники были использованы в совместных работах нашей научной группы при исследовании новых нелинейных кристаллов Rb3SmB6O12. Метод КРС был применен к характеризации кристалла Pr2(SO4)3, выращенного методом преципитации, данные КРС сравнивались с результатами численного расчета. Получены и проанализированы низкочастотные спектры КРС полуорганического кристалла GUHP для различных поляризационных условий; показано наличие терагерцовых фононных мод и их связь с диэлектрическим откликом, определяющим терагерцовую генерацию. Развита спектроскопия низкочастотных мод для полупроводниковых платилеток. Развиты и применены методы Монте-Карло для описания упорядочения электрических диполей воды в кристаллических порах. С использованием метода КРС нами было показано, что углеродные пористые материалы, полученные из сырья на основе биомассы, более разупорядочены, чем материалы, полученные из торфа, и имеют более высокое содержание карбонильных групп, чем материалы на основе минерального сырья. Метод КРС позволил определить фазовое состояние фосфора внутри одностенных углеродных нанотрубок (ОУНТ), который оказался волокнистым красным фосфором.
2021
В 2021 году с использованием методов оптической спектроскопии получены значимые результаты для ряда задач материаловедения, химической и биологической физики.
Метод КРС впервые применен для построения фазовых диаграмм фосфолипидов. Продемонстрировано преимущество подхода КРС картирования, заключающееся в возможности определять состав и конформационное состояние микромасштабных доменов по единственному образцу. Для тройной диаграммы DOPC/DPPC-d62/Chol определены составы бислоев, которые представляют собой смесь доменов двух типов, различающиеся по составу и фазовому состоянию. Размер определяемых таким способом доменов превышает 1 мкм.
Проведены исследования быстрой релаксации в полимерном стеклующемся материале (полиизопрене). Эти данные сравнивались с результатами диэлектрической и позитрон-аннигиляционной спектроскопии. По этим результатам опубликована статья [11]. Данные для РМБ от древнего янтаря (стеклующаяся смола) были проанализированы для определения коэффициента Пуассона; показано отклонение от соотношения Коши, которое было интерпретировано особенностями межмолекулярного взаимодействия [12].
Спектроскопия КРС позволила охарактеризовать изменения в липидном составе эмбрионов и ооцитов мыши и домашней кошки и выявить влияние этих изменений на фазовый переход липидов. Предложен и реализован подход выделения липидного вклада с помощью метода главных компонент. По данным КРС культивирование с линолевой кислотой позволяет почти вдвое увеличить степень ненасыщенности липидов в эмбрионах мыши [5]. В случае богатых липидами эмбрионов домашней кошки из данных КРС следует оценка 10 % для увеличения степени ненасыщенности. Показано, что добавление линолевой кислоты приводит к снижению температуры липидного фазового перехода, определенного по спектрам КРС.
Развитые в лаборатории методы ГВГ были применены к исследованиям новых композитных структур на базе оксида индия [4], кристаллических боратов Rb3Tm2B3O9 [10] и селенидов AgLiGa2Se4 [13]. При исследовании кристаллов, синтезированных новым способом, использовался метод КРС, позволяющий описать колебательный спектр, а по ширине пиков сделать вывод о качестве кристаллов. В коллаборации с другими исследовательскими организациями так были исследованы кристаллы Cu2ZnSnS4 [7]. Измерения КРС были сделаны для проверки численных расчётов колебательных мод в ряде актуальных материалов: кристаллов BaLaCuS3 [9] и аллотропных форм фосфора [6].
Вычисления методом Монте Карло позволили выявить характерные особенности сегнетоэлектрического фазового перехода электрических диполей молекул воды, заключенных поодиночке в нанополости кристалла кордиерита [1]. Рассчитана диэлектрическая проницаемость иона в ангармоническом потенциале при различных значениях частоты и температуры и показано, что данная модель соответствует уникальным экспериментальным данным для кристалла гексаферрита [2]. Предложена модификация эксперимента для субпикосекундного переключения сегнетоэлектрической поляризации импульсом инфракрасного лазера, где учтёно влияние деполяризующего поля [3].
2020
В 2020 году методом КРС изучен терагерцовый отклик дегидратированных фосфолипидных мембран и обнаружен пик, соответствующий слоевому колебанию смешанного типа. Методом РМБ в водных растворах показана связь свойства космотропности-хаотропности соли с изменением упругих свойств раствора на масштабе сотни нанометров. Развита теоретическая модель, применение которой позволило показать связь индекса фрагильности и флуктуаций сдвигового модуля. Развиты методы анализа данных КРС, позволяющие исследовать фазовые переходы в одиночных эмбрионах млекопитающих с малым содержанием липидов. В кристаллах SBN-x определена взаимосвязь центрального пика КРС с локальными полярными областями. Разработаны и применены теоретические методы к задачам переключения сегнетоэлектрической поляризации и появлению сегнетоэлектрического порядка для взаимодействующих молекул воды.
2019
Оптическая спектроскопия применена для ряда задач материаловедения, химической и биологической физики. Методом комбинационного рассеяния света (КРС) определены характеристики пика, отвечающего за собственные колебания фосфолипидного слоя. Метод был применен для решения проблемы о наличии сосуществующих областей различного состава двух- и трехкомпонентных липидных мембран. Изучение низкочастотного спектра КРС фосфолипидных мембран в планарных слоях и многослойных везикулах позволило разделить вклады от слоевых мод и от акустоподобных колебательных мод, распространяющихся вдоль слоев. Спектроскопия рассеяния Мандельштама-Бриллюэна применена для определения температурной зависимости модуля упругости фосфолипидных везикул в ГГц диапазоне и для определения концентрационной зависимости позиции бриллюэновского пика в биорелевантных растворах. Развиты методы картирования КРС для исследования распределения липидов по фазовому состоянию в замораживаемых ооцитах домашней кошки. Определено влияние криопротекторов (сравнение эффектов пропиленгликоля и глицерина) на фазовые переходы липидов. Методом КРС охарактеризован релаксационный отклик (центральный пик) в кристаллах SrxBa1-xNb2O6 (SBN-x) различного химического состава (x = 0.3, 0.5, 0.6, 0.75). Показана связь между параметрами центрального пика, акустическими аномалиями и интенсивностью сигнала генерации второй оптической гармоники. Изучены диэлектрические спектры в терагерцовом спектральном диапазоне кристаллов KTP с различным удельным сопротивлением. Получены диэлектрические спектры жидких кристаллов 5СВ в терагерцовом диапазоне, и на основе этого материала создан прототип метаструктуры отражательного типа для управления амплитудными и фазовыми характеристиками пучков на частоте 140 ГГц.
2018
1. Спектроскопия КРС фосфолипидных мембран тройного состава DPPC-DOPC-холестерин
Разработан и отработан протокол приготовления фосфолипидных мембран тройного состава, образующих водную суспензию многослойных везикул микронного размера. Для контроля локальной концентрации липида и воды в области освещения сфокусированным лазерным лучом был предложен и отработан метод контроля весового отношения липид/вода по характеристикам спектра КРС в области валентных колебательных мод OH и CH2. Нами была продемонстрирована работоспособность этого подхода и экспериментально определен коэффициент пропорциональности (опубликовано в [1]). Фазовое состояние исследуемых образцов определялось по характеристикам симметричной и антисимметричной мод CH2 в спектре КРС. В процессе выполнения показано, что этот подход может быть применен также и для характеризации конформационного состояния ионных жидкостей на базе ионов, содержащих алкильные цепи (Bmim и Bmmim). Данные по этим материалам опубликованы в [2]. Тройные фосфолипидные мембраны были изучены для составов, показанных кружками на фазовой диаграмме Рис. 1.1. Эти составы покрывают и однофазные состояния и области сосуществования двух и трех фаз (lo – liquid ordered, ld – liquid disordered, g - gel).

Рис.1.1.
Пример низкочастотного спектра КРС для DPPC-DOPC состава при низких температурах показан на Рис. 1.2а. На вставке к этому рисунку приведен пример разложения спектра КРС на компоненты, позволяющий определить позицию и ширины пиков. Первый острый пик на этом рисунке соответствует собственному колебанию монослоя (в районе 15 см-1 при температуре 100 К). На Рис. 1.2б показана зависимость позиции этого пика от концентрации холестерина. Видно, что на границах областей сосуществования фаз частота собственных колебаний монослоя испытывает особенности. Значение позиции пика, соответствующего собственным колебательным модам монослоя, различно при различных температурах из-за ангармонических эффектов, которые являются более выраженными при высоких температурах (т.е. анализ колебательных мод удобнее проводить при низких температурах). С другой стороны, вклад мешающей фотолюминесцентной подставки, на которую делается поправка при обработке спектров, существенно ниже при высоких температурах. Поэтому одинаковость влияния холестерина на частоту колебания монослоя, полученного из спектров при различных температурах, подтверждает достоверность результатов. В работе сделан вывод об изменении эффективных упругих констант рассматриваемой тройной системы в областях концентраций, где сосуществуют фазы lo-ld при высоких температурах. Эти области являются предметом дискуссий и большого количества современных исследований, так как считается, что они соответствуют так называемым рафтам в мембранах биологических клеток. Полученный результат позволяет связать образование сосуществующих доменов разных фаз с изменением эффективных упругих констант мембран.

Рис. 1.2а Рис. 1.2б
2. Рассеяние Мандельштама–Бриллюэна в суспензиях многослойных фосфолипидных везикул
Для независимого определения упругих констант фосфолипидных мембран в области гигагерцовых частот необходимо развитие спектроскопии рассеяния Мандельштама-Бриллюэна (РМБ). Ранее существовало несколько работ, где упругие константы фосфолипидных слоев определялись в экспериментах с планарными фосфолипидными структурами. Нами было показано, что можно предложить и реализовать методику измерения бриллюэновских линий для водных суспензий многослойных фосфолипидных везикул и из анализа полученных данных определить эффективную скорость звука в фосфолипидном слое. Для этого были проведены измерения РМБ от большого количества образцов суспензий многослойных фосфолипидных везикул DPPC, в которых варьировалась толщина образцов и концентрация фосфолипида. Анализ спектров РМБ позволил произвести оптимизацию толщины исследуемых образцов. Полученные образцы были довольно тонкими (такими, что вклад в спектры от перерассеянного лазерного луча был достаточно малым, что являлось существенным, поскольку суспензия везикул микронного размера представляет собой сильнорассеивающую среду). В то же время толщина была достаточной для получения приемлемой величины сигнала измеряемого спектра. Оптимум был найден на толщине образца порядка 50 мкм, где искажением спектра на перерассеянном лазерном луче можно пренебречь, так как спектральная форма линий РМБ для такой толщины уже не отличается от спектров РМБ для более тонких образцов. Нами было предложено использовать бифазную модель для анализа полученных данных, где одной фазой является вода, а другой – фосфолипид. Нами показано, что в рамках бифазной модели при условии одинакового механического напряжения скорость звука в липиде определяется выражением:
(1.1)
где ub – эффективная скорость звука суспензии, найденная из позиции пика РМБ, uW – скорость звука в водяной части, найденная из независимого измерения спектра РМБ от образца воды, m - отношение масс фосфолипида и воды в образце и b - отношение плотностей воды и фосфолипида. При условии одинаковой деформации бифазная модель позволяет описать скорость звука липида выражением:
(1.2)
Для использования Ур. (1.1) и (1.2) был измерен также образец воды, а для анализа их работоспособности образец сухого фосфолипида, полученного сушкой из суспензии. На Рис. 2.1а показаны спектры РМБ воды, сухих везикул и суспензии при температуре жидкого азота. На Рис. 2.1б показаны температурные зависимости скорости звука водяного образца (1), сухих везикул (2), суспензии (3), результат расчета по Ур. (1.1) – треугольники (4), по Ур. (1.2) – (5) и среднее между ними (6). Видно, что в пределе низких температур расчет по среднему из Ур. (1.1) и (1.2) дает хорошее согласие между РМБ суспензии и сухого образца. Также из Рис. 2.1б видно, что повышение температуры приводит к расхождению между скоростями звука сухих везикул и суспензии везикул из-за различия в их динамике (фазовый переход гель-флюид находится на 41 °С для везикул DPPC в суспензии и на 106 °С для сухого DPPC). Таким образом, создана методика, позволяющая определять скорость звука в фосфолипидных слоях из спектров РМБ суспензий при их полной гидратации.

Рис. 2.1а Рис. 2.1б
Определенная скорость звука (2,95 км/с) и плотность липидных слоев (1,05 г/см3) позволили рассчитать продольный модуль упругости липидного слоя в пределе низких температур – 9.1 ГПа.
В 2018 году в журналах были опубликованы статьи по экспериментальным результатам, полученным в предыдущие годы выполнения проекта. Статья [3] посвящена исследованию сегментальной динамики полистиролов и поливинилпиридинов с различным молекулярным весом, где объясняется особенность зависимости индекса фрагильности от молекулярного веса для этих стеклующихся полимеров. Статья [4] посвящена изучению структурных свойств этанола и глицерина (стеклующихся жидкостей с водородными связями) по характеристикам спектров КРС в области полосы валентных колебательных мод связей ОН.
3. Фазовые переходы во внутриклеточных липидных гранулах замораживаемых эмбрионов и ооцитов домашней кошки
В настоящее время криоконсервация эмбрионов и ооцитов активно используется в репродуктивной медицине, а также для сохранения линий лабораторных и сельскохозяйственных животных. Применяемые протоколы криоконсервации позволяют справиться с проблемами, вызываемыми кристаллизацией воды, однако, по-видимому, именно фазовые переходы липидов, происходящие в липидных гранулах и мембранных структурах клетки, ответственны за трудности, возникающие при криоконсервации ооцитов и эмбрионов «проблемных» видов животных, к которым относят кошачьих. Считается, что повреждающие факторы протоколов криоконсервации связаны с фазовыми переходами, возникающими при охлаждении. Для разработки новых эффективных протоколов необходимо изучать эти фазовые переходы непосредственно в замораживаемых клетках, то есть бесконтактным и неинвазивным методом с высоким пространственным разрешением. В рамках настоящего проекта фазовые переходы во внутриклеточных липидных гранулах замораживаемых эмбрионов и ооцитов домашней кошки были изучены методом спектроскопии КРС. Для этой цели нашей группой впервые в мире был разработан и реализован протокол измерения этих половых клеток.

Рис. 3.1
Работа велась в сотрудничестве с Сектором криоконсервации (рук. С. Я. Амстиславский) ИЦиГ СО РАН. Эмбрионы и ооциты подготавливались в ИЦиГ СО РАН, переносились в ячейку для измерения спектров КРС под микроскопным объективом, куда добавлялась необходимая концентрация криопротектора (глицерин) и далее эмбрион охлаждался по протоколу «программного замораживания» до температуры, при которой проводилось измерение КРС.
На Рис. 3.1 показаны спектры КРС от незрелых ооцитов (СОС, фото на вставке (a)), зрелых ооцитов (OOcyte, фото на вставке (b)) и эмбрионов (Embryo, фото на вставке (с)) домашней кошки при комнатной температуре Спектры включают в себя диапазон валентных CH2 колебаний (2800-3100 см-1), C=O колебаний (~1750 см-1), C-C колебаний (1000-1200 см-1) и другие линии. Для эмбриона на Рис 3.1 показаны также спектры КРС при нескольких характерных температурах (фото на вставке (d) показывает эмбрион при -50 °С, а (e) – это увеличенная область, где можно хорошо видеть липидные гранулы).
По температурным изменениям спектров КРС можно делать выводы о состоянии молекул (триглицеридов) в липидных каплях эмбриона. Для примера на Рис. 3.2 показана часть спектра в области валентных CH2 колебаний. Из отношения интенсивностей КРС антисимметричной (~2880 см-1) и симметричной (~2850 см-1) колебательных мод можно делать выводы о степени латериального и конформационного порядка. Это отношение выше для случая упорядоченного состояния. На вставке Рис. 3.2 показана температурная зависимость этого отношения для эмбриона кошки (черные кружки), которая позволяет определить температуру липидного фазового перехода в районе -5 °С.
Рис. 3.2
Для сравнения здесь же показано отношение для ненасыщенного фосфолипида DOPC, фазовый переход гель-флюид которого является хорошо изученным. Выбор именно этого липида для сравнения связан с тем, что в DOPC число ненасыщенных связей (1 на углеводородную цепь) близко к значению, полученному нами из анализа спектров КРС для липидных гранул эмбрионов и ооцитов. Видно хорошее соответствие температурного поведения модельного фосфолипида и липидных гранул эмбриона.
Из анализа спектров КРС нами были сделаны следующие выводы (опубликовано в [5]):
- Отношение интенсивностей пиков антисимметричного и симметричного СН2 колебаний является высокочувствительным индикатором фазового перехода, позволяющим определять температуры фазовых переходов в случае клеток с низким содержанием липидов. Также для исследования фазовых переходов в клетках может быть использован диапазон С-С колебаний, в частности “all-trans” мода на ~1130 см−1.
- Изменение характеристик линии С=O группы позволяет получать информацию о кристаллизации (трансляционном упорядочении) липидов. Было обнаружено, что для разных стадий развития ооцитов кристаллизация липидов может протекать по-разному. В случае ранних стадий развития наблюдается резкий переход в состояние с трансляционным упорядочением, в то время как для более поздних стадий этот переход размыт.
- Упорядочение конформационных и трансляционных степеней свободы может происходить на разных этапах замораживания. При этом наблюдается промежуточное состояние с порядком по конформационным состояниям и беспорядком по трансляционным состояниям.
Разработанный подход открывает новые возможности для отслеживания фазовых переходов липидов в одиночных эмбрионах и ооцитах. В перспективе примененный метод КРС к исследованию замораживаемых биологических клеток может быть использован для изучения возможных неоднородностей фазового состояния липидов в замораживаемых клетках.
В 2018 году по результатам исследования эффекта фотовыцветания резонансных линий цитохрома в спектре КРС при замораживании дрожжевых клеток, полученным в предыдущие годы выполнения проекта, была опубликована статья [6].
По результатам работ в 2018 году можно констатировать:
Метод низкочастотного КРС адаптирован и успешно применен для исследования фосфолипидных мембран тройного состава DPPC-DOPC-холестерин. При различных температурах были определены параметры пика КРС, отвечающего за собственные колебания фосфолипидного монослоя, как функции содержания холестерина для тройного состава DPPC-DOPC-холестерин. Сделан вывод об изменении эффективных упругих констант рассматриваемой тройной системы в областях концентраций, где сосуществуют фазы lo-ld при высоких температурах.
С использованием спектроскопии КРС определены температуры полиморфных фазовых переходов во внутриклеточных липидных гранулах замораживаемых эмбрионов и ооцитов домашней кошки. Показано, что разработанный подход позволяет детально характеризовать фазовые переходы липидов в одиночных эмбрионах и ооцитах в процессе криоконсервации. Впервые в мире показано, что для разных стадий развития ооцитов кристаллизация липидов в липидных гранулах может протекать по-разному. В случае ранних стадий развития наблюдается резкий переход в состояние с трансляционным упорядочением, в то время как для более поздних стадий этот переход размыт.
Разработан и реализован подход в спектроскопии рассеяния Мандельштама-Бриллюэна, позволяющий исследовать суспензии многослойных фосфолипидных везикул и определять скорость звука в фосфолипидных слоях. Получена температурная зависимость этой скорости звука при низких температурах и сделана оценка модуля упругости фосфолипидных слоев.
4. Исследование кристаллов и композитов методами колебательной спектроскопии
Известно, что при появлении химического беспорядка сегнетоэлектрические кристаллы приобретают свойства сегнетоэлектриков с уширенным фазовым переходом (релаксоров). Появление релаксорных свойств тесно связано с полярными локальными областями, возникающими в параэлектрической фазе кристалла. Взаимодействие этих локальных полярных областей с акустическими волнами приводит к аномальному температурному поведению упругих постоянных в окрестности сегнетоэлектрического фазового перехода. Поэтому из температурных зависимостей акустических аномалий можно определить свойства локальных полярных областей в параэлектрической фазе сегнетоэлектриков.
Для сравнения акустических аномалий в сегнетоэлектриках и релаксорах в 2018 году в рамках проекта исследованы кристаллы ниобата бария стронция SrxBa1-xNb2O6 (SBN-x) различного химического состава (x = 0.3, 0.5, 0.6, 0.75). Известно, что при x = 0.3, 0.5 эти кристаллы проявляют свойства «обычных» сегнетоэлектриков, а при x = 0.6, 0.75 – свойства релаксоров. Кристаллы SBN-x были выращены методом Степанова в ИОФАН. Образцы для проведения экспериментов были изготовлены в виде полированных параллелепипедов, вырезанных вдоль кристаллографических осей. Измерялись спектры рассеяния Мандельштама – Бриллюэна на шестипроходном интерферометре Фабри – Перо. Сегнетоэлектрические фазовые переходы в образцах с различной степенью химического беспорядка были исследованы также с помощью методик дифференциальной сканирующей калориметрии и диэлектрической спектроскопии.
Типичные спектры рассеяния Мандельштама – Бриллюэна в геометриях рассеяния Ζ(ХХ)Z и X(ZZ)X, обозначенные цифрами 1 и 2, приведены на Рис. 4.1 (кристалл SBN-0.6). В геометрии X(ZZ)X, где поляризация падающего и рассеянного света параллельна оси Z, отчетливо проявляется центральный пик, обусловленный релаксационными откликом параметра порядка. В случае, когда поляризация света перпендикулярна Z, центральный пик отсутствует.
На Рис. 4.2 приведены температурные зависимости положения и ширины максимума (FWHM) пиков Мандельштама - Бриллюэна в кристаллах SBN-x в геометриях рассеяния ΖХХ)(Z и X(ZZ)X , в которых, согласно правилам отбора, допускается только продольная акустическая мода (LA). Пунктирные линии представляют линейные температурные зависимости положения линии Мандельштама - Бриллюэна в высокотемпературном приближении, а вертикальные пунктирные линии представляют собой температуру сегнетоэлектрического фазового перехода Tm, определенную независимо из измерений восприимчивости, пироэлектрического отклика и генерации оптической второй гармоники. FWHM пика Мандельштама - Бриллюэна определяли подгонкой функцией Фойгта.

Рис. 4.1
Из данных, приведенных на Рис. 4.2 следует, что в случае, когда вектор акустической волны перпендикулярен оси Z, скорости звука (и величины упругих модулей) нечувствительны к фазовому переходу для всех исследованных кристаллов. Внутри всего рассмотренного температурного интервала они демонстрируют линейные температурные зависимости, а ширина линий практически не зависит от температуры. При этом для акустических волн вдоль оси Z (геометрия Z(XX)Z) наблюдаются аномалии ширины линии и упругого модуля в окрестности фазового перехода.

Рис. 4.2. Температурные зависимости положения пика Мандельштама - Бриллюэна и его ширины в кристаллах SrxBa1- xNb2O6 Звездочки и пустые треугольники соответствуют геометрии X(ZZ)X. Красные и синие данные соответствуют смещению пика для режимов ZFH и ZFC в геометрии Z(XX)Z. Черные треугольники соответствуют FWHM в геометрии Z(XX)Z. Зеленые пунктирные линии представляют линейные температурные зависимости положения линии Мандельштама - Бриллюэна в высокотемпературном приближении, а вертикальные пунктирные линии - температуры сегнетоэлектрического фазового перехода Tm.
Ранее было предложено описывать аномалии упругого модуля С33 в параэлектрической фазе в рамках модели, согласно которой дипольный момент полярных областей влияет на модуль упругости через электрострикцию. Нами было показано, что эта модель не позволяет описать экспериментальные данные. Тем не менее, из полученных экспериментальных данных было установлено модельно независимое эмпирическое описание аномалий акустических свойств, которые отражают влияние полярных локальных областей на акустические свойства в сегнетоэлектриках и релаксаторах. Показано, что акустические аномалии проявляются по-разному в зависимости от величины x, которая отражает дефектность кристаллов из-за химического беспорядка (смотр., например, на величины отклонения от линейного поведения для разных кристаллов на Рис. 4.2).

Рис. 4.3
Зависимость сегнетоэлектрического фазового переходы в SBN-x от степени химического беспорядка (x) была исследована методами дифференциальной сканирующей калориметрии. Показано, что изменения теплоемкости при фазовом переходе достаточно легко детектируются лишь для кристаллов SBN-x, которые традиционно относят к типу «обычных» сегнетоэлектриков (x = 0.3, 0.5), как показано на Рис. 4.3. В кристаллах SBN-x, относящихся к релаксорам (x = 0.6, 0.75), изменения теплоемкости сильно размыты, и отличить их от общего фона проблематично. Тем не менее, этот фазовый переход отчетливо проявляется в экспериментах по генерации второй оптической гармоники, диэлектрической спектроскопии, и по аномалиям акустических свойств. Подобное различие в проявлении сегнетоэлектрического фазового перехода в релаксорах в настоящее время неясно и является предметом будущих исследований.
В 2018 году в журналах были опубликованы статьи по экспериментальным результатам, полученным в предыдущие годы выполнения проекта: Статья [7] посвящена исследованию нелинейно-оптического отклика серии кристаллов SBN-x и его связи с особенностью сегнетоэлектрического фазового перехода в кристаллах этой серии. Статья [8] посвящена сегнетоэлектрическим кристаллам KDP и DKDP и интерпретации спектра КРС этих материалов с целью описания валентных колебательных мод OH и OD групп.
По результатам работ в 2018 году можно утверждать:
Исследованы температурные зависимости диэлектрической проницаемости, теплоемкости и спектров рассеяния Мандельштама – Бриллюэна в серии кристаллов SBN - x, относящихся как к обычным сегнетоэлектрикам (x = 0.50, 0.33), так и к релаксорам (x = 0.75, 0.61). Показано, что только для акустических волн, распространяющихся вдоль полярной оси, в определенном температурном диапазоне в окрестности фазового перехода наблюдаются как аномалии модуля упругости, так и уширение линии Мандельштама – Бриллюэна, характеризующее увеличение затухания продольных акустических волн. Эти аномалии наиболее выражены в кристаллах с большим химическим беспорядком. Продольные звуковые волны, распространяющиеся вдоль оси Z, имеют более медленную скорость и большее затухание, чем аналогичные волны, распространяющиеся поперек Z. В рамках модели, где аномалии акустических свойств кристалла определяются взаимодействием акустических волн с локальными диполями, локальные полярные области в параэлектрической фазе сильно анизотропны.
2017
1. Исследование спектров комбинационного рассеяния света (КРС) фосфолипидных мембран DMPC и DLPC
Ранее для пяти различных фосфолипидов было показано, что температурная зависимость интенсивности моды около 1130 см-1, измеренная методом комбинационного рассеяния света (КРС), хорошо описывает экспериментальные данные и позволяет определять энергию активации разупорядоченного состояния и ее степень вырождения. На Рис. 1.1 показана температурная зависимость отношения интенсивности линии КРС вблизи 1130 см-1 (IntCC) и интенсивность моды C-N(CH3)3 (IntCN, вблизи 720 см-1), служащей в качестве референтной линии. На этом рисунке данное отношение нормировано на свое значение в пределе низких температур, чтобы можно было сравнить поведение разных липидов.

Рис. 1
Все фосфолипиды, исследованные ранее (Surovtsev N.V., Dmitriev A.A. // J. Phys. Chem. 2015), имели от 16 атомов углерода в каждом хвосте и больше. А что будет, если рассмотреть случай липидов с меньшим числом атомов углерода, но которые еще способны образовывать фосфолипидные бислои, служащие моделью мембранных структур в биологической клетке?
В 2017 году мы рассмотрели случай насыщенного липида DMPC c 14 атомами углерода в хвосте и DLPC с 12 атомами углерода в хвосте.

DMPC

DLPC
Рис. 2
Были приготовлены водные суспензии многослойных фосфолипидных везикул. Процедура синтеза включала в себя стадию «набухания» на температурах выше перехода гель-флюид и многократные (5-10 раз) процедуры закалки-отогрева, когда образец пересекал температуры перехода гель-флюид и плавления/замораживания льда. Ранее нами было показано, что такой протокол синтеза приводит к образованию многослойных везикул с размером в несколько микрон и числом слоев порядка сотни или сотен. Методом дифференциальной сканирующей калориметрии (ДСК) образцы были охарактеризованы и полученные температуры перехода гель-флюид (+24 С для DMPC и -2 С для DLPC) хорошо совпали с известными литературными данными. Также из эксперимента по ДСК были определены значения энтальпии для перехода гель-флюид, которые находятся в хорошем согласии с данными других авторов.
Оказалось, что фосфолипиды с короткими хвостами также в целом следуют наблюдаемой корреляции между значением активационного барьера для разупорядоченного состояния хвостов фосфолипида и значением энтальпии перехода гель-флюид.
2. Исследование спектров КРС замораживаемых преимплантационных эмбрионов мыши
Исследовалась проблема детектирования фазовых переходов липидов в замораживаемых эмбрионах мыши методом КРС. Криоконсервация преимплантационных эмбрионов и ооцитов ‑ один из наиболее технологичных и перспективных способов решения проблемы сохранения генетического разнообразия видов млекопитающих. В настоящее время криоконсервация эмбрионов и ооцитов активно используется в репродуктивной медицине, а также для криоархивирования лабораторных и сельскохозяйственных животных. Особо следует отметить применение криоконсервации эмбрионов и ооцитов для сохранения редких и исчезающих видов дикой фауны. Не смотря на то, что для некоторых видов животных выработаны эффективно работающие протоколы криоконсервации, для подавляющего большинства видов млекопитающих таких стандартных протоколов замораживания все ещё нет. Повреждающие факторы протоколов криоконсервации связаны с фазовыми переходами, возникающими при глубоком охлаждении. В то время как применяемые криопротекторы позволяют справиться с проблемами, вызываемыми кристаллизацией воды, фазовые переходы липидов, происходящие в липидных гранулах и мембранных структурах клетки, по-видимому, и ответственны за трудности, возникающие при криоконсервации ооцитов и эмбрионов «проблемных» видов животных (например, представителей отряда хищных). Повреждающая роль липидов отражается в известной корреляции, что чем больше липидных гранул содержится в ооцитах и эмбрионах, тем хуже эти эмбрионы и ооциты переносят процедуру криоконсервации. Однако механизмы, приводящие к гибели клеток, в результате фазовых переходов при криоконсервации и их связь с особенностями липидного состава эмбрионов и ооцитов в настоящее время не известны. Определение этих механизмов и разработка на базе этих знаний эффективных протоколов криоконсервации ооцитов и эмбрионов проблемных для криоконсервации видов млекопитающих является актуальной задачей.
В 2017 году была исследована возможность детектирования фазового перехода липидов в замораживаемых эмбрионах мыши. Работа велась в сотрудничестве с Сектором криоконсервации (рук. С. Я. Амстиславский) ИЦиГ СО РАН. Эмбрионы подготавливались в ИЦиГ СО РАН, переносились в ячейку для измерения спектров КРС под микроскопным объективом, добавлялась необходимая концентрация криопротектора (глицерин) и далее эмбрион охлаждался по протоколу «программного замораживания» до температуры, при которой проводилось измерение КРС. На Рис. 1.3 показаны фотографии эмбриона при замораживании и последующем нагреве. Видно, что используемый протокол позволяет сохранить эмбрион в целостности.

Рис. 3
Измеренные спектры КРС были скорректированы на вклад глицерина и на вклад воды в области ОН-мод. Спектры эмбриона при трех характерных температурах в области колебаний СН-мод показаны на Рис. 1.4

Рис. 4
Кроме вклада от СН-мод белков на рисунке 1.4 можно выделить вклад от симметричных колебаний СН2 групп липидов (2850 см-1) и от антисимметричных колебаний СН2 групп липидов (2880 см-1). Известно, что интенсивность линии КРС антисимметричных колебаний СН2 растет с ростом упорядоченности липида. Поэтому удобно рассмотреть отношение антисимметричной и симметричной линий в спектре КРС липида как меру порядка (например, Surovtsev N.V., Dmitriev A.A. // J. Phys. Chem. 2015).
Отношение антисимметричной и симметричной линий в спектре КРС эмбрионов показано на Рис. 1.5 как функция температуры. Зеленые и черные кружки показывают результаты двух подходов к обработке экспериментальных данных. Красные кружки показывают как ведет себя отношение антисимметричной и симметричной линий в спектре КРС фосфолипида РОРС, где увеличение отношения с понижением температуры связано с увеличением упорядоченности конформационных состояний ацильных цепей. Прыжок параметра вблизи -2оС отражает фазовый переход гель-флюид в РОРС. Аналогично можно сделать вывод, что между 0 и +7о С в случае эмбриона мыши происходит фазовый переход липидов от разупорядоченного конформационного состояния к упорядоченному.

Рис. 5
3. Исследование спектров КРС и рассеяния Мандельштама-Бриллюэна (РМБ) криопротекторных растворов и стеклующихся жидкостей
Ранее на примере стеклующихся вандерваальсовых жидкостей был обнаружен ряд универсальных свойств материалов вблизи температуры ТА – температуры, при которой термоактивационное поведение времени релаксации (вязкости) меняется на более резкое супераррениусовское поведение. В наших экспериментах было показано, что при этой температуре зарождаются локальные короткоживущие неоднородности, которые проявляются в поведении локальной релаксации, в спектрах КРС и в поведении отношения Ландау-Плачека. Возникает вопрос – являются ли эти свойства исключительной чертой вандерваальсовских стеклующихся жидкостей или жидкости с направленными молекулярными связями также будут демонстрировать аналогичные свойства вблизи ТА?
В 2017 году были исследованы спектры низкочастотного неупругого рассеяния света двух стеклующихся жидкостей глицерина и этанола, межмолекулярное взаимодействие в которых характеризуется направленной водородной связью. Для этих жидкостей была измерена зависимость отношения Ландау-Плачека от температуры и определена температура, при которой отношение Ландау-Плачека начинает отличаться от приближения однородной среды. Эта температура ассоциируется с появлением локальных неоднородностей и составила 366 К в случае глицерина и 219 К в случае этанола.
Спектры неупругого рассеяния света были получены в спектральном диапазоне от 0.5 до 6000 ГГц с использованием аппаратуры для спектроскопии Мандельштама-Бриллюэна (шестипроходной тандем эталонов Фабри-Перо конструкции Сандеркока) и для спектроскопии КРС (трехрешеточный спектрометр TriVista777). Пример спектра рассеяния в случае этанола показан на Рис. 1.6 для некоторых температур в представлении восприимчивости. На температурах от 170 К и выше виден пик альфа-релаксации, который двигается в сторону высоких частот при повышении температуры.

Рис. 6
Проведенный анализ спектров рассеяния света позволил определить время альфа-релаксации в широком температурном диапазоне, а деривативный анализ показал наличие перехода ТА со значениями 366 К в случае глицерина и около 200 К в случае этанола.
Таким образом, стеклующиеся жидкости с водородными связями также обладают феноменом ТА – резким переходом от термоактивационного поведения к супераррениусу, сопровождающимся резким возрастанием отношения Ландау-Плачека.
4. О проблеме мгновенной структуры воды
Разработанная методика определения короткоживущих локальных кластеров по отношению Ландау-Плачека была применена к проблеме мгновенной структуры воды и нами было показано, что отношение Ландау-Плачека в воде может быть описано в рамках однородной жидкости во всем исследованном диапазоне температур от -17о С и до + 90о С. Температурная зависимость отношения Ландау-Плачека в воде, полученная нами, показана на Рис. 1.7 квадратами, а красной линией показано предсказание теории однородной жидкости.

Рис. 7
5. Исследование серии кристаллов SrxBa1-xNb2O6 методами комбинационного рассеяния света, генерации второй гармоники, рассеяния Мандельштама-Бриллюэна, дифференциальной сканирующей калориметрии и диэлектрической спектроскопии
В 2017 году исследовалась серия кристаллов SrxBa1-xNb2O6 с целью прояснить особенности поведения материала вблизи сегнетоэлектрического фазового перехода. Так как, варьируя значение x в составе SBN, можно перейти от случая классического сегнетоэлектрика к сегнетоэлектрическому релаксору, это исследование может дать дополнительную информацию для актуальной проблемы описания физики сегнетоэлектрических релаксоров.
Эксперименты проводились на серии кристаллов твердых растворов номинально чистых ниобата бария-стронция (SBN-x) с общей химической формулой SrxBa1-xNb2O6 (x=0.33, 0.50, 0.61, 0.75), которые были выращены способом Степанова в Институте общей физики РАН.
Для исследования температурной зависимости генерации второй гармоники (ГВГ) в температурном диапазоне 200−900 K образец помещался в азотный криостат Linkam, температура в котором поддерживалась с точностью 1 K. В качестве источника облучения использовался импульсный лазер с длиной волны 1064 нм, частотой следования импульсов 1 кГц, длительностью импульса 0.6 нс и средней мощностью 100 мВт. Рассеянный назад сигнал второй гармоники через коллиматор попадал на щель спектрометра TriVista777 со спектральным разрешением не хуже 1 см-1. Спектры комбинационного рассеяния света регистрировались на спектрометре TriVista777.
Для определения интегральной интенсивности и ширины сигнала ГВГ cпектральная форма сигнала подгонялась функцией Лоренца. Определенная таким образом ширина спектрального отклика на полувысоте не зависит от температуры и не превышает 1 см-1. Интегральная интенсивность данного отклика значительно превышает сигналы, которые могли бы наблюдаться в данном спектральном диапазоне и иметь другую спектральную форму. Доминирование относительно узкого и неизменного по ширине (Υ0 < 1 см-1) пика ГВГ, на фоне которого гиперрэлеевское рассеяние обнаружить не удалось, свидетельствует о том, что генерация сигнала на удвоенной частоте происходит в областях, время жизни которых превышает 5 пс.
Исследование методом комбинационного рассеяния света (КРС) показало наличие центрального пика в параэлектрической фазе кристалла SBN61 с шириной, зависящей от температуры и превышающей десятки обратных сантиметров. Это свидетельствует о наличии флуктуаций параметра порядка (поляризации) в субпикосекундном диапазоне. Такие быстрые флуктуации параметра порядка происходят, по-видимому, в более крупных по размеру локальных областях, которые за времена, превышающие 5 пс, остаются асимметричными.
Температурная зависимость интегральной интенсивности сигнала ГВГ, нормированная на максимальный сигнал в сегнетоэлектрической фазе, приведена на Рис. 1.8а. На рисунке виден значительный сигнал в центросимметричной фазе для всех исследованных образцов. Относительно плавное уменьшение интенсивности сигнала при увеличении температуры происходит в релаксоре SBN 75.

Рис. 8: Температурные зависимости интегральной величины сигнала второй гармоники, нормированной на максимальную величину сигнала ГВГ в сегнетоэлектрической фазе, (а) и ее производной по температуре (b) для кристаллов SrxBa1-xNb2O6 (x = 0.33, 0.50, 0.61, 0.75).
2016
Развитые в лаборатории методики низкочастотного комбинационного рассеяния света, наблюдения КР-линий конформационно-чувствительных связей и генерации второй гармоники позволяют идентифицировать и изучать явления самоорганизации на нанометровом масштабе в различных материалах, включая стеклующиеся жидкости, фосфолипидные мембраны, ковалентные стекла, сегнетоэлектрические кристаллы и керамики. В частности нам удалось показать, что можно создать релаксоры без химического беспорядка, определить температуру образования нанометровых структур в жидкостях, изучить статистику конформационных состояний ацильных хвостов фосфолипидов и исследовать динамику замерзания биологических клеток.
Основные результаты
1. Создан стенд для исследования гиперкомбинационного и гиперрэлеевского рассеяния в сегнетоэлектрических композициях и стеклующихся жидкостях. В качестве спектрометра использовался третий монохроматор спектрометра TriVista 777 cдифракционной решеткой на 900 шт/мм, возбуждающим лазером служил импульсный лазер с длиной волны 1064 нм, длиной импульса 0.6 нс, частотой повторения 1 кГц. Средняя мощность лазера составляла около 80 мВт, что соответствует пиковой мощности около 100 кВт. В качестве тестового образца использовалось кварцевое стекло, на котором был сделан ряд предыдущих работ, использующих возбуждение импульсами в несколько десятков наносекунд. В геометрии рассеяния под прямым углом никакого сигнала обнаружено не было, и основные эксперименты были проведены для геометрии назад, которая более удобна для юстировки в этом типа экспериментов (уменьшается роль ошибки из-за «человеческого фактора»). Фокусирующая (и одновременно собирающая в этой геометрии) линза имела фокусное расстояние 75 мм. Согласно обзору V.N. Denisovetal, PhysicsReports, 1987 величина фокуса этой линзы не имеет значения, если вся перетяжка при фокусировке попадает в щель спектрометра. Сами авторы использовали значения фокусов 30-100 мм для рассеяния под прямым углом и более 100 мм для рассеяния вперед (для измерения поляритонов) без заметного изменения сигнала гиперкомбинационного рассеяниия. В работе B. HehlenetalPhys.Rev.Lett. 2000 для рассеяния под прямым углом сигнал гиперрэлеевского рассеяния от кварцевого стекла составлял 5000 отсчетов за 5 минут (100 нс лазерный импульс, 14 Вт пиковая мощность, фокусировка линзой с F = 18 мм, согласно их рис. 2 интенсивность рассеяния назад по порядку величины такая же). Однако для нашей субнаносекундной системы гиперрэлеевский сигнал от кварцевого стекла и стеклующихся жидкостей не превышал 10 отсчетов за 5 минут. Нами сделано предположение, что различие наших результатов с предыдущими связано с тем, что использованные в предыдущих работах Q-switched лазеры находились в режимах со спонтанной пикосекундной модуляцией, повышающей пиковую мощность по сравнению с заявленной.
На примере кристалла в параэлектрической фазе мы показали, что центральный пик в режиме гиперрэлеевского рассеяния может быть надежно зафиксирован в созданной установке.
2. Проверена гипотеза о том, что время релаксации при температуре перехода от аррениусовского к неаррениусовоскому поведению стеклующихся жидкостей одинаково для различных веществ. Для этой цели были изучены спектры рассеяния Мандельштама-Бриллюэна следующих веществ: дибутилфталат, глицерин, орто-терфенил, пропилен карбонат, альфа-пиколин, салол, толуол, о-толуидин. Спектры были изучены в широком температурном диапазоне. В этих спектрах проявляется интенсивный пик альфа-релаксации, когда время альфа-релаксации находится в диапазоне от 1 до 20 пс. Из подгонки этого пика контуром Коль-Давидсона определены температурные зависимости времени альфа-релаксации τα (Т) для исследованных стеклующихся жидкостей. Из деривативного анализа зависимостей τα (Т) определены температуры перехода от аррениусовского к неаррениусовскому поведению стеклующихся жидкостей TA, которые составили: 257 К (толуол), 403 К (салол), 250 К (пиколин), 298 К (пропилен карбонат), 408 К (орто-терфенил), 366 К (глицерин), 405 К (дибутилфталат) и 205 К (этанол). На рис. 1 показаны спектры рассеяния Мандельштама-Бриллюэна этих веществ на температуре TA(кроме этанола, у которого пик альфа-релаксации имеет низкую интенсивность и находится на 4 ГГц при TA), в спектральной области, где доминирует пик альфа-релаксации.

Рис. 1. Спектр рассеяния Мандельштама-Бриллюэна в области пика альфа-релаксации при T = TA, для семи стеклующихся жидкостей.
Из Рис. 1 видно, что для различных стеклующихся веществ положение пика варьируется от 4 ГГц до ~ 24 ГГц (соответствующее время релаксации от 40 до 6.6 пс). Можно заключить, что хотя время релаксации τα (Т = ТА) одного порядка для различных веществ, есть систематическая тенденция к увеличению положения максимума (укорочение времени релаксации) с ростом индекса фрагильности стеклующейся жидкости. Полученный результат находится в качественном согласии с недавним анализом, проведенным в работе V.N. Novikov, Chem.Phys.Lett. для модельных предсказаний перехода от аррениусовского к неаррениусовскому поведению.
Различия в значении времени релаксации при TA в совокупности с примерно одинаковым значением спектрального положения максимума микроскопического пика означает существенное различие во влиянии альфа-релаксации на затухание колебательных мод, составляющих микроскопический пик. Таким образом, гипотеза о том, что температура TA универсальным образом соответствует передемпфированию микроскопического пика не подтвердилась.
3. Определено влияние криопротектора глицерина на кинетику фотовыцветания линий цитохрома в замораживаемых дрожжевых клетках. Получено, что использование криопротекторного раствора (10 % водный раствор глицерина) изменяет кинетику фотовыцветания, которая отражает дыхательную активность клеток. На рис. 2 показана температурная зависимость времени фотовыцветания резонансных линий цитохрома в дрожжевых клетках от температуры. Видно, что выше температуры кристаллизации раствора данные для клеток в физиологическом растворе и клеток в водном растворе глицерина совпадают. Ниже температуры образования льда данные существенно различаются – скорость фотовыцветания в 3-4 раза выше в случае раствора с криопротектором. Этот эффект мы связываем с различием в доступности кислорода для двух вариантов растворов: при замораживании физиологического раствора образуются замкнутые полости, в которых находятся клетки, и, соответственно, аноксия нарушает работу дыхательной цепи клетки. В случае кристаллизации части воды водного раствора глицерина замкнутой сетки не образуется, для клеток есть доступный кислород, а падение скорости реакций может быть связано с увеличением вязкости цитоплазмы.

Рис. 2. Зависимость обратного времени фотовыцветания резонансных линий цитохрома в дрожжевых клетках от температуры. Квадратами показаны данные для клеток в физиологическом растворе, кружками для клеток в водном растворе глицерина. Штриховой линией показана температура образования льда. Результаты получены для интенсивности облучения 2.4 мВт при фокусировки в область ~ 1 мкм2.
На температуре 225 К (Рис. 2) происходит резкое замедление скоростей реакции и в случае дрожжевых клеток в глицериновом растворе. Этот эффект связывается с так называемым динамическим переходом для белков, который наблюдается при этих температурах и соответствует «выключению» их функциональных свойств. До настоящего времени влияние эффекта динамического перехода наблюдали только в модельных системах, а наши результаты показали, что это переход может проявляться и в криоконсервируемых биологических клетках.
4. Исследовано поведение колебательных мод ОН-групп в различных фазах сегнетоэлектрика KDP и его дейтерированного аналога DKDP. Измерены спектры КРС этих кристаллов для различных поляризационных условий и при различных температурах, включающих в себя сегнетоэлектрическую и параэлектрическую фазы. Решалась задача определения линий в спектрах КРС, соответствующих колебательных мод ОН-групп. В литературе существуют два варианта ответа для этой задачи. Существует распространенное мнение, что валентное колебание находится в районе 1300-1350 см-1 и эта интерпретация находится в согласии с эмпирической корреляцией между частотой колебания и расстоянием О-О в кристалле KDP. Другая версия заключается в том, что моды в районе 2600 и 2400 см-1 являются валентными колебаниями ОН с водородными связями. Оба варианта ответа согласуются с сопоставлением мод для протонированного и дейтерованного кристаллов KDP. Для решения вопроса об отнесении мод нами было предложено рассмотреть температурную зависимость мод. На рис. 3 показано относительное изменение спектрального положения мод при понижении температуры.

Рис. 3. Относительное изменение линий КРС в кристалле KDP при понижении температуры (относительно значения при комнатной температуре).
Ожидается что частота валентных (растягивающих) колебательных мод ОН групп будет слегка понижаться с понижением температуры, что контрастирует с ожидаемым поведением для валентных мод без водородной связи или деформационных мод ОН групп, позиция которых увеличивается с понижением температуры. Из рис. 3 видно, что поведение мод 1305 и 1793 см-1 не соответствует предположению о том, что они являются валентными колебаниями ОН с водородными связями. С другой стороны, так как эти моды включают в себя движение ОН-групп (по сравнению со спектрами дейтерированных образцов), то приходим к заключению, что эти моды отражают колебательные моды ОН групп деформационного типа. Поведение мод 2685 и 2375 см-1 согласуется с предположением, что они являются валентными колебаниями ОН с водородными связями.
5. Изучена фазовая диаграмма криопротектора глицерин-вода в зависимости от протокола охлаждения. Для этих целей водные растворы глицерина различного состава охлаждались с различными скоростями охлаждения, а затем при нагревании измерялась теплоемкость образцов как функция температуры (дифференциальная сканирующая калориметрия, ДСК). По кривой ДСК были определены температуры стеклования раствора, кристаллизации и плавления. Была построена фазовая диаграмма для значений температуры стеклования для растворов различного состава, изображенная на рис. 4. На этом рисунке синими кружками показаны результаты для температуры стеклования, соответствующие охлаждению и последующему нагреву со скоростью 5 К/мин. Треугольниками показаны результаты для охлаждения с максимальной скоростью, доступной в калориметре (закалка), и последующего нагрева со скоростью 5 К/мин. Третий режим, результаты которого представлены на рис. 4, заключался в отжиге закалочных образцов на температуре кристаллизации (согласно кривым ДСК), последующим охлаждением образца на низкую температуру (заведомо ниже температуры стеклования) и последующего измерения кривой ДСК при нагреве со скоростью 5 К/мин. Таким образом определенная температура стеклования показана на рис. 4 красными кружками.
Из рис. 4 видно, что существует две ветви на диаграмме. Горизонтальная (с температурой стеклования около 170 К) соответствует случаю, когда часть воды кристаллизуется, а оставшаяся часть образует стеклующийся водный раствор, который не кристаллизуется даже при длительном отжиге. Из рис. 4 следует, что стеклующийся раствор содержит 75 вес.% глицерина. Вторая ветка на диаграмме рис. 4 соответствует случаю, когда весь исследуемый раствор переходит в состояние стекла. Видно, что существует диапазон составов, который при быстром и/или умеренном охлаждении переходит в метастабильное состояние стекла, которое при последующем нагреве частично кристаллизуется. Нам не удалось застекловать раствор при концентрации глицерина 40 вес% и ниже, в то время как концентрации ниже 30% используются при протоколе витрификации замораживаемых клеток животных (при витрификации препарат закаливают погружением в жидкий азот). Типичное значение концентраций при витрификации и оценочная температура стеклования показано на рис. 4 вертикальным оранжевым отрезком.

Рис. 4. Зависимость температуры стеклования водных растворов глицерина от концентрации.
Из рис. 4 видно, что простая линейная интерполяция между известными температурами стеклования глицерина и воды не дает правильного описания концентрационной зависимости температуры стеклования водных растворов глицерина. В нашей работе мы впервые применили выражение Фокса для предсказания температуры стеклования водных растворов глицерина. Это выражение связывает температуру стеклования бинарного состава Т12g с температурой стеклования каждого компонента Tig, взвешенной через весовую долю каждого компонента xiw :
1/T12g = x1w/T1g + x2w/T2g
Из рис. 4 видно, что выражение Фокса находится в отличном согласии с экспериментальными результатами.
6. Для анализа состава стеклующейся части водного раствора глицерина была применена спектроскопия КРС. В области СН и ОН валентных колебаний были сравнены спектры КРС 75 вес% раствора глицерина, который, как ожидается, соответствует составу предельной концентрации, который не образует кристаллитов льда при любом протоколе охлаждения и нагрева и соответствует остаточной застеклованной части частично кристаллизованных растворов (Рис. 4) и спектры КРС закристаллизованного 55 вес% раствора глицерина. Было показано, что спектр КРС закристаллизованного 55 вес% раствора глицерина является суммой спектра КРС 75 вес% раствора глицерина и льда. Для демонстрации этого результата на рис. 5 показан спектр 75% раствора (красная линия), 55% раствора (коричневая линия), льда (голубая линия), разницы спектров КРС 55% раствора и льда (синяя линия). Видно, что красная и синяя линия совпадают с высокой точностью.

Рис. 5. Спектры КРС замороженных водных растворов глицерина и льда в области валентных мод СН и ОН групп.
Таким образом результаты исследования водных растворов глицерина подтверждают вывод (сделанный из анализа фазовой диаграммы), о том что в кристаллизованных растворах всегда присутствует застеклованная часть раствора, которая соответствует 75 вес% раствору глицерина.
7. Исследована температурная зависимость ширины линии КРС синтетического алмаза в зависимости от содержания азотной примеси. Показано, что увеличение концентрации азота уширяет линию КРС. Для исследования вопроса о природе дополнительного уширения по сравнению с номинально бездефектным алмазом спектральная форма линии была исследована с высоким спектральным разрешением (0.3 см-1, FWHM) в широком температурном диапазоне. Было показано, что дополнительное уширение может быть хорошо описано увеличением контура Лоренца.

Рис. 6. Ширина линии КРС бездефектного алмаза (черные кружки) и алмаза, легированного азотом (звездочки) как функция температуры. Линией показано описание температурной зависимости с учетом трех- и четырех-фононного ангармонизма. Пустые кружки – данные для бездефектного алмаза, сдвинутые на 0.85 см-1.
Сравнение температурной зависимости для ширины линии КРС бездефектного и легированного азотом алмаза приведено на рис. 6. Видно, что легирование азотом не изменяет величины, связанные с ангармонизмом колебательных мод, но приводит к уширению линии за счет статического (независящего от температуры) рассеяния фононов.
8. Исследованы спектры комбинационного рассеяния света многослойных везикул в зависимости от условий синтеза: влияние этапа протокола замораживания-размораживания суспензии с пересечением температуры перехода гель-флюид и длительного низкотемпературного отжига насыщенных липидов (на несколько десятков градусов ниже температуры перехода гель-флюид). Получено, что при отсутствии циклов «замораживания-размораживания» эффективное число бислоев увеличивается в суспензии мембран, но при этом значительная доля материала находится не в сферических липосомах, а образует рваные структуры (согласно наблюдению в оптический микроскоп). Проведение циклов «замораживания-размораживания» (5-6 циклов) приводит к синтезу хорошо определенных липосом, размер которых варьируется от одного до пяти микрон, а оценка числа фосфолипидных слоев находится в диапазоне от несколько десятков до сотни бислоев. Данный результат находится в хорошем соответствии с известными результатами, полученными методом электронной криомикроскопии. Несмотря на различия в характеристиках наличие или отсутствие циклов «замораживания-размораживания» не приводит к различиям в температурном поведении линий КРС для колебательных мод СС и СН2 связей и не оказывает влияния на фазовый переход гель-флюид.
9. Изучены спектры комбинационного рассеяния света от серии висмут-фторидных стекол и определены стеклообразующие единицы – цирконатные полиэдры. Скорости звука во фторидных стеклах определены методом рассеяния Мандельштама-Бриллюэна. Также показано, что легирование эрбием приводит к возникновению фотолюминесценции в видимом диапазоне при возбуждении длиной волны 532 нм. Рисунок 7 иллюстрирует возникновение фотолюминесценции при малых рамановских сдвигах в стеклах цирконат-барий-натриевой серии, где использовано одновременное легирование и фторидом висмута и фторидом эрбия.

Рис. 7.
2015
Исследование спектров деполяризованного рассеяния Мандельштама-Бриллюэна в стеклующихся жидкостях
(Отв.исп. – д.ф.м.-н. Суровцев Н.В.)
Исследование вкладов быстрой релаксации при ТА в салоле, пиколине, орто-терфениле, дибутилфталате и толуоле показало, что этот вклад существенно варьируется от материала к материалу.
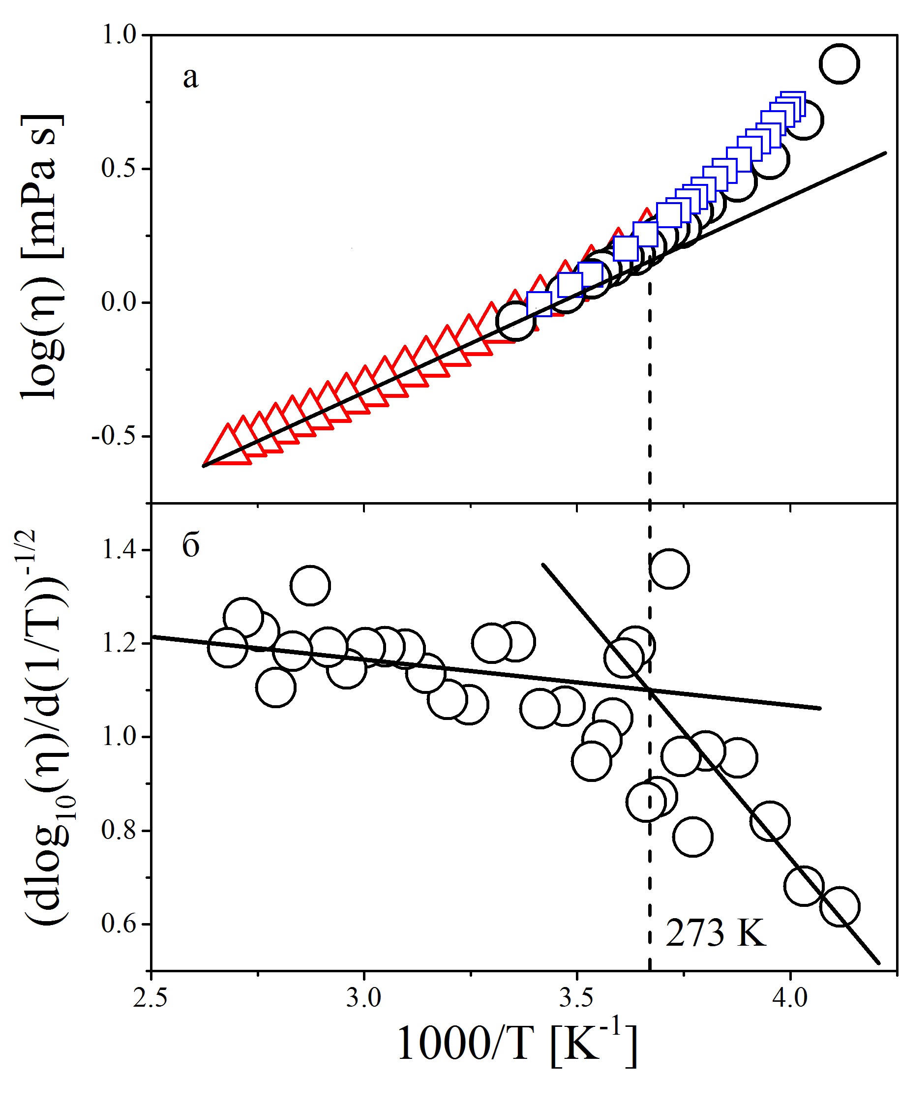
За счет воды расширен «ассортимент» материалов, в которых наблюдается переход от аррениусовского к неаррениусовскому поведению для ta(T), связанному с образованием нанометровых неоднородностей. Была исследована численная модель воды в диапазоне температур 240-340 К, которая хорошо воспроизводит экспериментальные данные по вязкости ( см. рис.). Деривативный анализ поведения вязкости обнаруживает смену высокотемпературного поведения, описываемого термоактивационным законом, на более резкое, неаррениусовское поведение. Переход от одного режима к другому происходит при Т ~ 273 ± 7 К. Анализ структур моделей воды показал, что с понижением температуры увеличивается число молекул воды, вовлеченных в группировки с числом молекул более 20 и объединенных сильной водородной связью (по сравнению со средней по образцу).

Температурная зависимость вязкости воды. Треугольниками и квадратами изображены экспериментальные данные, кружками - результаты численного моделирования, полученные авторами; (б) Температурная зависимость для вязкости воды.
Определена температурная зависимость времени выцветания цитохрома в замораживаемых дрожжевых клетках. В этих исследованиях лазерное излучение на длине волны 532 нм одновременно служило и накачкой для комбинационного рассеяния света (КРС) и производило окисление цитохромов, вовлеченных в работу электронно-транспортной цепи. В результате происходило фотовыцветание линий резонансного КРС от неокисленного цитохрома. Скорость убывания неокисленного цитохрома определяется двумя факторами: скоростью фотоиндуцированных реакций и скоростью темновых процессов, пытающихся восстановить естественный баланс. Из анализа зависимости времени фотоокисления от мощности лазерного излучения и от температуры были получены температурные зависимости для скорости реакций как темновой, так и фотоиндуцированной. Показано, что температурная зависимость темновой реакции, вовлеченной в окислительно-восстановительный баланс, имеет резкую температурную зависимость и может быть описана термоактивационным законом с величиной барьера 32.5 кДж/мол.
Изучены низкочастотные спектры КРС в нанокомпозитах на основе порошков титаната бария, приготовленных в условиях высокого давления (до 40 кбар). Показано, что в отличие от монокристаллического титаната бария, в котором низкочастотные спектры могут быть описаны в приближении одного времени релаксации, прессованный композит показывает широкое распределение времен релаксации. Численно это распределение может быть охарактеризовано значением параметра a – показателем степени в выражении Ir(w) µ wa, описывающем низкочастотную часть спектра в представлении восприимчивости. a = 1 соответствует одному времени релаксации, а a < 1 некоторому распределению времен релаксации, которое тем шире, чем меньше a. Поведение a(Т) в прессованных композитах титаната бария оказалось аналогичным поведению a(Т) в сегнетоэлектрических релаксорах (например, в магнониобате свинца Pb3(MgNb2)O9, PMN). Полученные результаты были объяснены созданием локальных полей (электрических и механических) в композитах титаната бария в результате обработки высоким давлением. Эти поля играют ту же роль, что полярные неоднородности в сегнетоэлектрических релаксорах. Присутствие полярных неоднородностей может быть обнаружено в экспериментах по генерации второй гармоники. Результаты такого эксперимента показаны на Рис. как для монокристалла, порошка и прессованного композита титаната бария, так и для классического сегнетоэлектрического релаксора PMN. На нижней части рисунка представлены данные по генерации второй гармоники в представлении производной, визуализирующей фазовый переход. Видно, что именно приложенные давления к порошку титаната бария приводят к размытию сегнетоэлектрического фазового перехода и превращают его в аналог сегнетоэлектрического релаксора.

Температурная зависимость сигнала ГВГ, I2w, для монокристалла (линия), порошка (треугольники) и прессованного композита (кружки) титаната бария и кристалла PMN (звездочки). б). Температурная зависимость производной для этих же материалов.
2014
Программа II.10.2.Фундаментальные проблемы взаимодействия лазерного излучения с однородными и структурированными средами (координатор ак. А.М. Шалагин).
Проект II.10.2.5. Исследование организации и функциональных свойств наноструктурированных сред оптическими методами (руководитель проф. В.К. Малиновский).
Исследование самоорганизующихся на нанометровом масштабе веществ методом комбинационного рассеяния света и генерации второй гармоники (Отв.исп. – д.ф.м.-н. Суровцев Н.В.)
Детально исследовано поведение альфа-релаксации в трех органических молекулярных стеклующихся веществах: салоле, орто-терфениле и альфа-пиколине. Традиционные методики (дифракция рентгеновских лучей, дифракция нейтронов) не обнаруживают каких-либо изменений в структурных особенностях стеклующегося материала в жидкой фазе. Для их обнаружения в наших экспериментах были использованы методы релеевского рассеяния света.
Из экспериментальных спектров деполяризованного рассеяния света определялось значение времени релаксации ta(T). Наши данные по ta(T) свидетельствуют, что вблизи температуры перехода от аррениусовского к неаррениусовскому поведению характер температурной зависимости ta(T) близок к фазовому переходу второго рода. Мы предложили связать это явление с возникновением локальных динамических кластеров при охлаждении стеклующегося материала ниже температуры перехода от аррениусовского к неаррениусовскому поведению ta(T).
Разработана и реализована методика определения массы ДНК клеток крови. Эта методика основана на измерении и анализе спектров комбинационного рассеяния света ядер клеток и позволяет избежать проблем, связанных с неоднородностью специфического связывания меток в распространенных традиционных методиках. Количественный анализ вклада ядерного ДНК был проведен по интенсивности фосфатной моды около 1096 см-1. При сравнении с известными стандартами массы ДНК животных было показано, что предлагаемый метод имеет погрешность не выше 10 %, и может быть улучшен при соответствующей модернизации установки.
Изучены спектры КРС синтетических клеточных мембран из насыщенного (DPPC) и ненасыщенного (POPC) липидных слоев как функция температуры (25-320 К). Получен ответ на вопрос – как влияет добавление холестерина на температурную зависимость мод, отражающих конформационное состояние ацильной цепи (С-С колебание), и на интенсивность ассимметричной растягивающей СН2 моды, которая чувствительна к межцепочечному взаимодействию. Введение холестерина не оказывает влияния на поведение мембраны, состоящей из насыщенного липида, а в случае мембраны из ненасыщенного липида влияет на межцепочечное взаимодействие липидных цепей, делая его похожим на случай насыщенного липида. Полученный результат объясняется наличием дырок свободного объема в случае РОРС, возникающих из-за невозможности плотной упаковки ацильной цепи с изгибом, созданным наличием двойной связи.
2013
Программа II.10.2. Фундаментальные проблемы взаимодействия лазерного излучения с однородными и структурированными средами (координатор ак. А.М. Шалагин).
Проект II.10.2.5. Исследование организации и функциональных свойств наноструктурированных сред оптическими методами (руководитель проф. В.К. Малиновский).
Исследование самоорганизующихся на нанометровом масштабе веществ методом комбинационного рассеяния света и генерации второй гармоники (Отв.исп. – д.ф.м.-н. Суровцев Н.В.)
Методом КРС впервые показано, что структура стеклующейся жидкости о-толуидина изменяется в трех характерных точках: при ТА (температура перехода от термоактивационного к неаррениусовскому поведению), при ТС (температура перехода в рамках теории связанных мод, где предполагается формирование локального окружения на нанометровой шкале масштабов) и температуре стеклования Тg. Результат интерпретирован как следствие образования нанометровых неоднородностей в стеклующейся жидкости. Описание структурирования стеклующихся жидкостей в маловязком состоянии важно для описания процесса стеклования и предсказания стеклообразующей способности материалов.
Программа междисциплинарных интеграционных проектов СО РАН
Проект 108. “Нетрадиционные способы введения лекарственных веществ в организм и физические методы модифицирования их свойств.” (Координатор ак. В.В. Болдырев).
Блок ИАиЭ СО РАН. (Отв.исп. – д.ф.-м.н. Н.В. Суровцев)
Впервые методом КРС были изучены вопросы: различаются ли структурные единицы растворы глицина, полученные при растворении кристаллических фаз альфа- и гамма-глицина и изменяются ли спектры КРС в зависимости от времени после приготовления раствора. Получено, что характеристики растворов альфа- и гамма-глицина (концентрация мономеров и димеров) являются идентичными, и после полного растворения глицина не изменяются со временем на масштабах часов и дней.
Программа междисциплинарных интеграционных проектов СО РАН
Проект 31. Экспериментальное моделирование минералообразующих процессов с участием углерода в литосферной мантии. (Координатор д.г.-м.н. Ю.Н. Пальянов).
Блок ИАиЭ СО РАН. (Отв.исп. – д.ф.-м.н. Н.В. Суровцев)
Проведено исследование спектров комбинационного рассеяния света в графитоподобных образцах, образующихся при высоких Р,Т параметрах, моделирующих минералообразующие процессы с участием углерода в литосферной мантии. В измеренных спектрах комбинационного рассеяния света (КРС) наблюдаются моды D, G, D’, G’. По измеренным спектрам определено отношение DиG мод (R= ID/IG). Полученные данные использованы для оценки размера кристаллитов в исследованных образцах.
Программа партнерских интеграционных проектов СО РАН
Проект 18. Стеклообразование и кристаллизация во фторидных и оксифторидных системах, формирование функциональных свойств кристаллов и стекол на их основе (Координатор д.ф.-м.н. Н.В. Суровцев).
Впервые детально изучено низкочастотное КРС в парадигмальном фторидном стекле ZBLAN. Установлено, что свойства быстрой релаксации можно описать как моделью двухямных потенциаловс экспоненциальным распределением высот барьеров, так и моделью, учитывающей ангармонизм колебаний. Нами показано, что оценка индекса фрагильности для стекла ZBLAN по данным вязкости расходится с оценкой из измерения теплоемкости вблизи температуры стеклования («термодинамический» индекс фрагильности). Предложена гипотеза, согласно которой «термодинамический» индекс фрагильности отвечает за упругие свойства материала на нанометром масштабе (бозонный пик), а «вязкостный» индекс фрагильности отвечает за свойства быстрой релаксации.
Программа Президиума РАН:Вещество при высоких плотностях энергиии (координаторы: ак. В.Е. Фортов, ак. С.М. Стишов).
Секция: Вещество в условиях высокого статического сжатия (координатор ак. С.М. Стишов).
Проект: Влияние состава среды кристаллизации на процессы роста и свойства кристаллов алмаза (координаторы: ак. Н.В. Соболев, д.г.-м.н. Ю.Н. Пальянов).
Блок ИАиЭ СО РАН. (Отв.исп. – проф. В.К. Малиновский)
Проведено детальное исследование формы линии комбинационного рассеяния света в алмазе как функции температуры. Чтобы правильно описать эту температурную зависимость необходимо учесть поправки четвертой степени к эффективному потенциалу колебания,. Показано, что учет этой поправки в виде распада оптического фонона на три акустических с равной частотой позволяет описать температурную зависимость ширины линии КРС алмаза в диапазоне до 1000 К (см. рисунок).

Температурная зависимость однородной ширины КР-линии (символы), красная линия – уширение за счет трехфононного взаимодействия, а зеленая линия – описание теоретическим выражением, соответствующим четырехфононному взаимодействию.
Программа фундаментальных исследований Президиума РАН № 8: Разработка методов получения химических веществ и создание новых материалов (координатор: ак. В.А. Тартаковский).
Проект: Исследование новых фторидных и оксифторидных кристаллов и стекол (координатор: д.ф.-м.н. Н.В. Суровцев).
Синтезирована серия барий-ниобатных оксифторидных стекол: 20MnNbOF5-xBaF2-(100-x)BiF2. На оксифторидных стеклах проведены измерения теплоемкости методом дифференциальной сканирующей калориметрии, определены температуры стеклования и кристаллизации. Рассчитан параметр стабильности стекол. Анализ позиции максимума бозонного пика (см. рисунок) показал, что с ростом концентрации фторида бария уменьшается характерный размер нанометровых неоднородностей.
Программа фундаментальных исследований Отделения физических наук РАН II.5:Физика новых материалов и структур (координатор: чл.-корр. В.В. Кведер).
Проект II.5.3: Синтез и исследование микро- и нанокристаллической сегнетоэлектрической керамики на основе титаната бария (координатор: проф. В.К. Малиновский).
Исследованы спектры низкочастотного комбинационного рассеяния света (КРС) в монокристалле титаната бария при температурах от комнатной до 800 К. Показано, что в этих спектрах наблюдается центральный пик, ширина которого демонстрирует так называемое «критическое замедление» вблизи температуры сегнетоэлектрического перехода. Спектральная форма центрального пика при этом хорошо описывается приближением одного времени релаксации.
Программа междисциплинарных интеграционных проектов СО РАН. Проект 128. «Системы с отрицательным коэффициентом преломления и оптическим резонансным туннелированием для сверхбыстрого управления ТГц и ИК излучением» (Координатор д.ф.-м.н. В.Я. Принц, отв.исп. ИАиЭ – д.ф.-м.н. Н.В. Суровцев).
Изучен плазмонный резонанс в новых метаматериалах на основе золотых наноструктур по положению поверхостного плазмона в спектре поглощения. Показано, что метаматериалы, синтезированные и ИФП СО РАН, обладают высокой степенью анизотропии поглощения для пика плазмонного резонанса, что определяется анизотропией структуры материала. При исследовании низкочастотных спектров комбинационного рассеяния света пленки наночастиц серебра было показано, что распределение интенсивности спектра отражает распределение кластеров по размерам.
Программа междисциплинарных интеграционных проектов СО РАН. Проект 108. “Нетрадиционные способы введения лекарственных веществ в организм и физические методы модифицирования их свойств” (Координатор ак. В.В. Болдырев, отв.исп. ИАиЭ – д.ф.-м.н. Н.В. Суровцев).
Изменения в колебательных спектрах лекарственных средств в порошковом (нифедипин, сальбутамол) и растворенном состоянии (глицерин) в зависимости от способа обработки, температуры и процессов кристаллизации были изучены методом комбинационного рассеяния света. Из анализа спектров рассеяния света водного раствора глицина была получена оценка числа молекул воды (около 20), которые испытывают воздействие молекулы глицина. Это воздействие на молекулы воды приводит к изменению их динамического отклика (время реориентации увеличивается в 5-6 раз). При этом частоты валентных связей изменяются незначительно (эффективное гидратационное число составляет 2), что соответствует слабому искажению сетки водородных связей.
Программа междисциплинарных интеграционных проектов СО РАН. Проект 31. «Экспериментальное моделирование минералообразующих процессов с участием углерода в литосферной мантии» (Координатор д.г.-м.н. Ю.Н. Пальянов. отв.исп. ИАиЭ – д.ф.-м.н. Н.В. Суровцев).
Для характеризации углеродсодержащих и алмазоподобных образцов, образующихся при высоких Р,Т параметрах при экспериментальном моделировании минералообразующих процессов с участием углерода, была использована методика комбинационного рассеяния света. По отношению интенсивностей D и G мод был оценен размер кристаллитов в исследуемых образцах. Сделан вывод о том, что в образцах углеродной сажи с более высокой концентрацией воды увеличивается доля sp2 гибридизации.
Программа партнерских интеграционных проектов СО РАН. Проект 18. «Стеклообразование и кристаллизация во фторидных и оксифторидных системах, формирование функциональных свойств кристаллов и стекол на их основе» (Координатор: д.ф.-м.н. Н.В. Суровцев).
Исследованы свойства нескольких серий новых фторидных и оксифторидных стекол методами спектроскопии комбинационного рассеянного света (КРС), рассеяния Мандельштама-Бриллюэна и дифференциальной сканирующей калориметрии. Определены основные стеклообразующие полиэдры и их вклад в интенсивность бозонного пика. Показано, что вклад быстрой релаксации коррелирует с термической устойчивостью стекла – чем ниже этот вклад, тем выше устойчивость стекла. В то же время анализ упругих свойств новых фторидных стекол показал, коэффициент Пуассона предсказывает более низкое значение индекса фрагильности, чем ожидаемое для фторидных стекол. На примере известного фторидного стекла ZBLAN удалось показать, что основные спектральные характеристики многокомпонентных фторидных стекол аналогичны характеристикам однокомпонентных стекол различной природы. Отличие многокомпонентных фторидных стекол проявилось в сравнении интенсивности быстрой релаксации, бозонного пика и коэффициента Пуассона с индексом фрагильности. Предложена интерпретация полученных результатов на базе неэквивалентности термодинамического и кинетического индексов фрагильности.
2012
Исследование спектроскопических проявлений взаимодействия излучения с наноструктурированными материалами (гигантское комбинационное рассеяние света, диэлектрическая спектроскопия, сенсорные свойства)
1. Исследование образования «мгновенных» неоднородностей в стеклующихся материалах методом комбинационного рассеяния света.
Показано, что при температурах TC и ТА в стеклующихся жидкостях образуются нанометровые кластеры. Их появление изменяет распределение интенсивностей и частот колебаний водородных связей.
2. Исследование проявления полярных нанообластей в парафазе сегнетоэлектриков методом генерации второй гармоники.
В широком температурном диапазоне вплоть до 1000 К при помощи прецизионного измерения сигнала второй оптической гармоники обнаружено существование локальных полярных областей в кубической параэлектрической фазе в кристаллах, порошке и керамике титаната бария (ВТ).
3. Релаксационная динамика, кооперативность и динамическая неоднородность в переохлажденных жидкостях на различных пространственных и временных масштабах.
Обнаружено, что температурная зависимость времени релаксации ионных жидкостей хорошо описывается законом Фогеля-Фулчера-Таммана во всем температурном интервале от температуры стеклования до температур выше температуры плавления. Мы предположили, что эти явления связаны и являются следствием сильных и направленных межмолекулярных взаимодействий, характерных для низкотемпературных ионных жидкостей.
2004-2010 гг.
Исследование динамического перехода в модельных синтетических мембранах
Возможности метода комбинационного рассеяния использованы для исследования динамики биологических молекул с целью определения сходства и отличий динамического перехода в биосистемах от стеклования органических жидкостей. В качестве модельной биомембраны была использована система липид-вода (Dipalmitoylphosphatidylcholine (DPPC)). Метод КРС дает возможность отслеживать состояние неполярной цепи липида по относительной интенсивности пиков спектра КРС, соответствующих колебаниям C–H и C–C связей (высокочастотный спектральный диапазон). Показано, что интенсивность антисимметричной моды C–H связи уменьшается выше температуры динамического перехода (~200 К). Было обнаружено также, что мода растягивающих C–C колебаний для конфигурации липида в all-trans состоянии также имеет особенность на температуре динамического перехода и уменьшается с ростом температуры при T > 200 K. Полученные данные позволили предложить микроскопическую модель динамического перехода, предполагающую термоактивационные переходы конформационного состояния неполярной цепи липида.
Публикации:
- N.V. Surovtsev, E.S. Salnikov, V.K. Malinovsky, L.L. Sveshnikova, S.A. Dzuba “On the low-temperature onset of molecular flexibility in lipid bilayers seen by Raman scattering” // Journal of Physical Chemistry B, v. 112 (2008), pp.12361-12365.
- N.V. Surovtsev, S.A. Dzuba “Conformational changes of lipids in bilayers at the dynamical transition near 200 K seen by Raman scattering” // Journal of Physical Chemistry B, v. 113 (2009), pp.15558-15562.
Исследование особенностей структуры и динамического отклика в стеклующихся жидкостях и неупорядоченных полимерах
Исследованы особенности однородного и неоднородного уширения линий комбинационного рассеяния света (КРС) в стеклующихся жидкостях (толуол и пиколин). Анализ спектров проводился с помощью функции Фойхта, позволяющей разделить однородное и неоднородное уширение. Было показано, что неоднородное уширение линий имеет следующую температурную зависимость: слабая зависимость ниже Tg (температура стеклования), очень слабая зависимость (или ее отсутствие) для температур выше TA (температура перехода от термоактивационного поведения вязкости выше TA к неаррениусовскому поведению ниже TA) и резкое убывание в диапазоне Tg<T<TA. Результаты интерпретируются как возникновение нанометровых неоднородностей при T = TA, приводящих к появлению эффективного поля, действующего на молекулу. В жидком состоянии при понижении температуры неоднородность поля возрастает. В стеклообразном состоянии структура не изменяется, и температурная зависимость становится слабее.
Экспериментально исследованы особенности, так называемой, быстрой релаксации в стеклующихся материалах методом низкочастотного комбинационного рассеяния света. В спектрах КРС быстрая релаксация проявляется в виде центрального пика с характерной шириной в диапазоне 0.1-1 ТГц. Показано, что быстрая релаксация проявляется уже в стеклообразном состоянии и в ряде случаев хорошо описывается распределением двух-ямных потенциалов. На температуре Tg происходит резкое увеличение интенсивности центрального пика, соответствующего быстрой релаксации, а при некоторой температуре Tс ~ 1.2–1.5Tg интенсивность этого пика становится независящей от температуры.
В сотрудничестве с зарубежными коллегами сегментальная реориентационная динамика в расплавах линейных полимеров полибутадиена, полиизопрена и полидиметилсилоксана исследована методом ядерного магнитного резонанса в пределе больших молекулярных весов. Показано, что релаксационное поведение на низких частотах не является универсальным, отражающим полимерную динамику, а зависит от конкретных межъядерных векторов пар водородных спинов на мономере. Только после вычитания части спектра, соответствующей динамике низкомолекулярного образца (разной для разных полимеров), оставшаяся часть спектра демонстрирует универсальный вид, описывающий чисто полимерную динамику. Этот спектр может быть представлен двумя степенными режимами: один из них относится к раузовской динамике, а второй, на более низких частотах, связан с эффектом переплетения полимерных цепей.
Публикации:
- N.V. Surovtsev, S.V. Adichtchev, V.K. Malinovsky “Transition from single-molecule to cooperative dynamics in a simple glass former: Raman line-shape analysis” // Physical Review E, v.76, №2 (2007) n.021502.
- N.V. Surovtsev “On the glass-forming ability and short-range bond ordering of liquids” // Chemical Physics Letters, v.477, №1-3 (2009) pp.57-59.
- N.V. Surovtsev “Interrelation between fast relaxation and mode-coupling theory temperature in glass formers” // Journal of Physics: Condensed Matter, v.19, №19 (2007), p.196101.
- S.V. Adichtchev, N.V. Surovtsev, J. Wiedersich, A. Brodin, V.N. Novikov, E.A. Rössler “Fast relaxation processes in glasses as revealed by depolarized light scattering” // Journal of Non-Crystalline Solids, v.353, №16-17 (2007), pp.1491-1500.
- И.В. Проць, В.К. Малиновский, Н.В. Суровцев “Исследование быстрой релаксации в стеклующемся селене методом низкочастотного комбинационного рассеяния света” // Физика и химия стекла, т.34, №1 (2008), с.39-47.
- Herrmann A., Kariyo S., Abou Elfadl A., Meier R., Stapf S., Novikov V.N., Rössler E.A. “Universal polymer dynamics revealed by fast field cycling 1H NMR” // Macromolecules, v.42, № 14 (2009) pp. 5236–5243.
- Herrmann A., Novikov V.N., Rössler E.A. “Dipolar orientational and
- bond correlation function of linear polymers revealed by field cycling 1H
- NMR: Crossover from Rouse to entanglement regime” // Macromolecules, v.42, № 6 (2009) pp. 2063–2068.
- Abou Elfadl A., Herrmann A., Hintermeyer J., Petzold N., Novikov V.N.,
- Rössler E.A. Molecular Weight Dependence of Fragility in Polymers // Macromolecules, v.42, № 17 (2009) pp. 6816–6817.
Исследование терагерцового отклика в сегнетоэлектриках
Сегнетоэлектрический переход сопровождается особенностью динамического отклика в гигагерцовом и терагерцовом диапазонах. В этом диапазоне проявляются мягкие моды: колебательного типа для сегнетоэлектриков типа смещения и релаксационного типа для сегнетоэлектриков типа порядок-беспорядок. Существующая теория позволяет достаточно хорошо описать динамический отклик сегнетоэлектриков вблизи температуры фазового перехода. Тем не менее, остается ряд фундаментальных вопросов, требующих изучения: роль релаксационных степеней свободы в сегнетоэлектриках типа смещения, температурный диапазон, где справедливо приближение Ландау - Гинзбурга, влияние нанометровых неоднородностей в сегнетоэлектрических релаксорах на характер фазовых переходов. Было проведено экспериментальное исследование низкочастотного комбинационного рассеяния света (КРС) в ряде характерных сегнетоэлектриков: ниобат лития, танталат лития, дигидрофосфат калия, дейтерированный дигидрофосфат калия, ниобат бария-стронция. Показано, что во всех материалах наблюдается центральный пик, интенсивность которого резко возрастает при приближении к температуре фазового перехода. Результат интерпретирован как отражение роли релаксационных степеней свободы, учет которых важен даже для сегнетоэлектриков типа смещения. В наших работах был также определен температурный диапазон, где справедливо приближение Ландау - Гинзбурга для этих материалов.
Публикации:
- N.V. Surovtsev, A.M. Pugachev, V.K. Malinovsky, A.P. Shebanin, S. Kojima “Low-frequency Raman spectra in LiNbO3: Within and beyond the standard paradigm of ferroelectric dynamics” // Physical Review B, v.72, №10 (2005), p.104303.
- Н.В. Суровцев, А.М. Пугачев, В.К. Малиновский “Особенности поведения центрального пика в спектрах комбинационного рассеяния света кристалла ниобата лития” // Физика твердого тела, т.48, №6 (2006), с.1030-1034.
- А.Г. Кузнецов, Н.В. Суровцев, В.К. Малиновский “Особенности поведения центрального пика в спектрах комбинационного рассеяния света кристалла танталата лития” // Физика твердого тела, т.48, №12 (2006), с.2190-2193.
- A.G. Kuznetsov, V.K. Malinovsky, A.M. Pugachev, N.V. Surovtsev “Salient properties of Raman central peak in LiNbO3 and LiTaO3 crystals” // Ferroelectrics, v. 348 (2007), pp.177-181.
- В.К. Малиновский, А.М. Пугачев, Н.В. Суровцев “Исследование сегнетоэлектрического фазового перехода в кристалле DKDP методом низкочастотного комбинационного рассеяния света” // Физика твердого тела, т.50, №6 (2008), с.1090-1095.
- В.К. Малиновский, А.М. Пугачев, Н.В. Суровцев “Об универсальных закономерностях динамики решетки сегнетоэлектриков” // Физика твердого тела, т.51, №7 (2009), с.1315-1317.
- V.K. Malinovsky, A.M. Pugachev, N.V. Surovtsev “Central peak in Raman spectra of ferroelectric KDP and DKDP crystals” // Ferroelectrics, v.379 (2009) pp.43-47.
Исследование новых SERS-активных подложек
Эффект усиления отклика вблизи нанометровых кластеров благородных металлов открывает дополнительные возможности при исследовании материалов методом комбинационного рассеяния света (КРС): возможность локализации отклика на масштабе нескольких нанометров, усиление сигнала при исследовании малого количества вещества и изменение правил отбора для КРС. Несмотря на то, что эффект гигантского комбинационного рассеяния света (surface enhanced Raman scattering, SERS) открыт более 30-лет назад, вопросы синтеза наночастиц, создания подложек, воспроизводимость и «время жизни» подложек, проблемы нанесения материалов и ряд других остаются нерешенными. В нашей работе были исследованы подложки для SERS, созданные в Институте полупроводников СО РАН новым методом. Метод заключается в формировании наночастиц серебра при фотохимическом или термическом разложении пленок солей серебра жирных кислот, наносимых на твердую подложку по технологии Ленгмюра - Блоджетт. Было показано, что этот метод дает хорошие воспроизводимые подложки.
Разработанная технология синтеза SERS-активных подложек была использована для изучения SERS от квантовых точек CdS, приготовленных по технологии Лэнгмюр - Блоджетт. Продемонстрировано, что SERS-активная подложка позволяет наблюдать усиление сигнала комбинационного рассеяния от квантовых точек в 700 раз.
Публикации:
- N.V. Surovtsev, S.V. Adichtchev, T.A. Duda, L.D. Pokrovsky, L.L. Sveshnikova “New surface-enhanced Raman scattering active substrate fabricated by use of the Langmuir-Blodgett technique” // Journal of Physical Chemistry C, v.114, №11 (2010) pp.4803-4807.
- А.Г. Милехин, Л.Л. Свешникова, Т.А. Дуда, Н.В. Суровцев, С.В. Адищев, Д.Р.Т. Цан “Гигантское комбинационное рассеяние света квантовыми точками CdS” // Письма в ЖЭТФ, т.88, №12 (2008), с.918-921.
|